Seneste opdatering :
18/03/2026
Antibiotisk   Netilmicin sulfate   
Aerosol
Injektion
Stabilitet af farmaceutiske tilberedninger Stabilitet i blandinger Faktorer der påvirker stabiliteten Kompatibilitet Bibliografi pdf
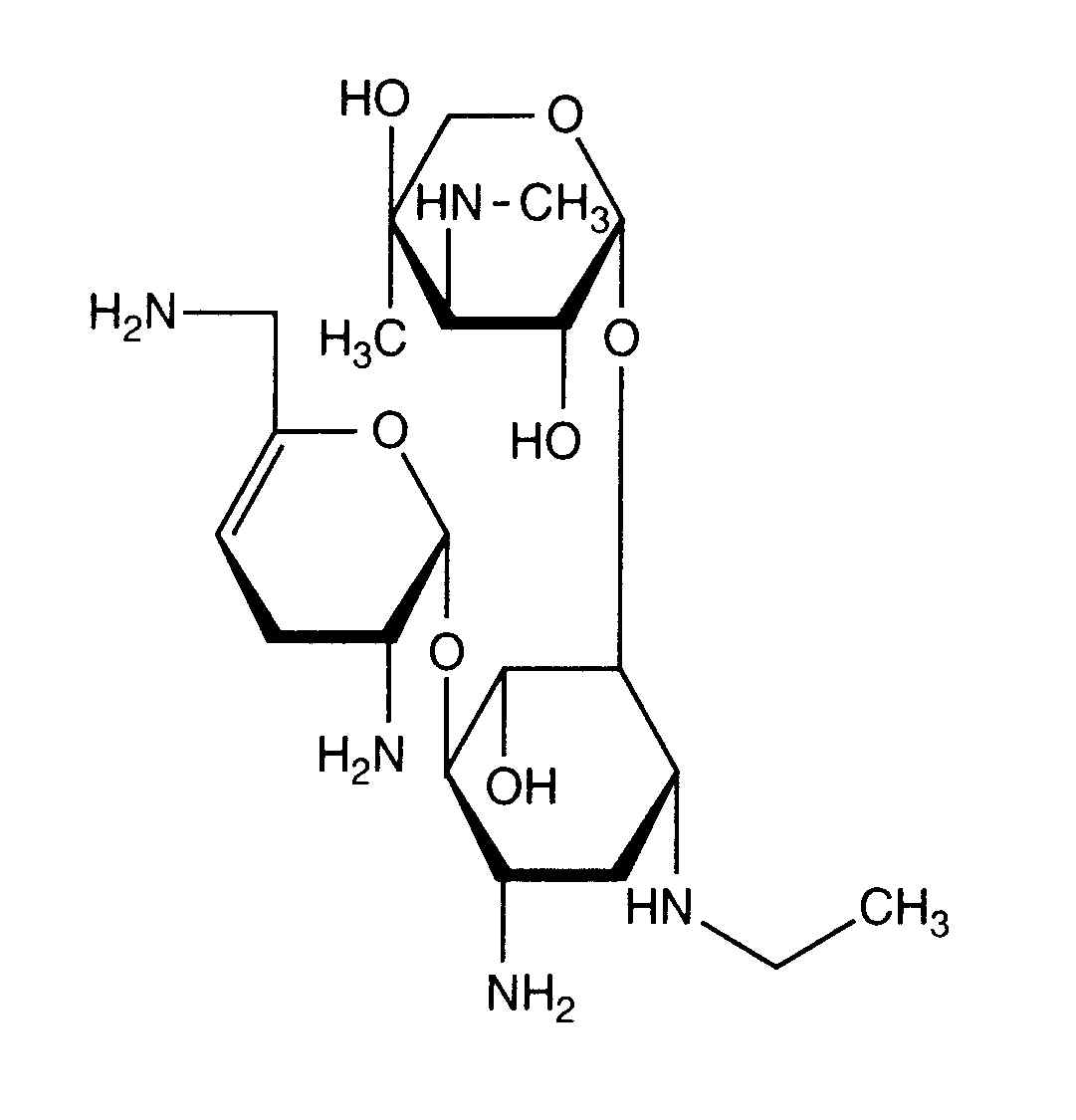
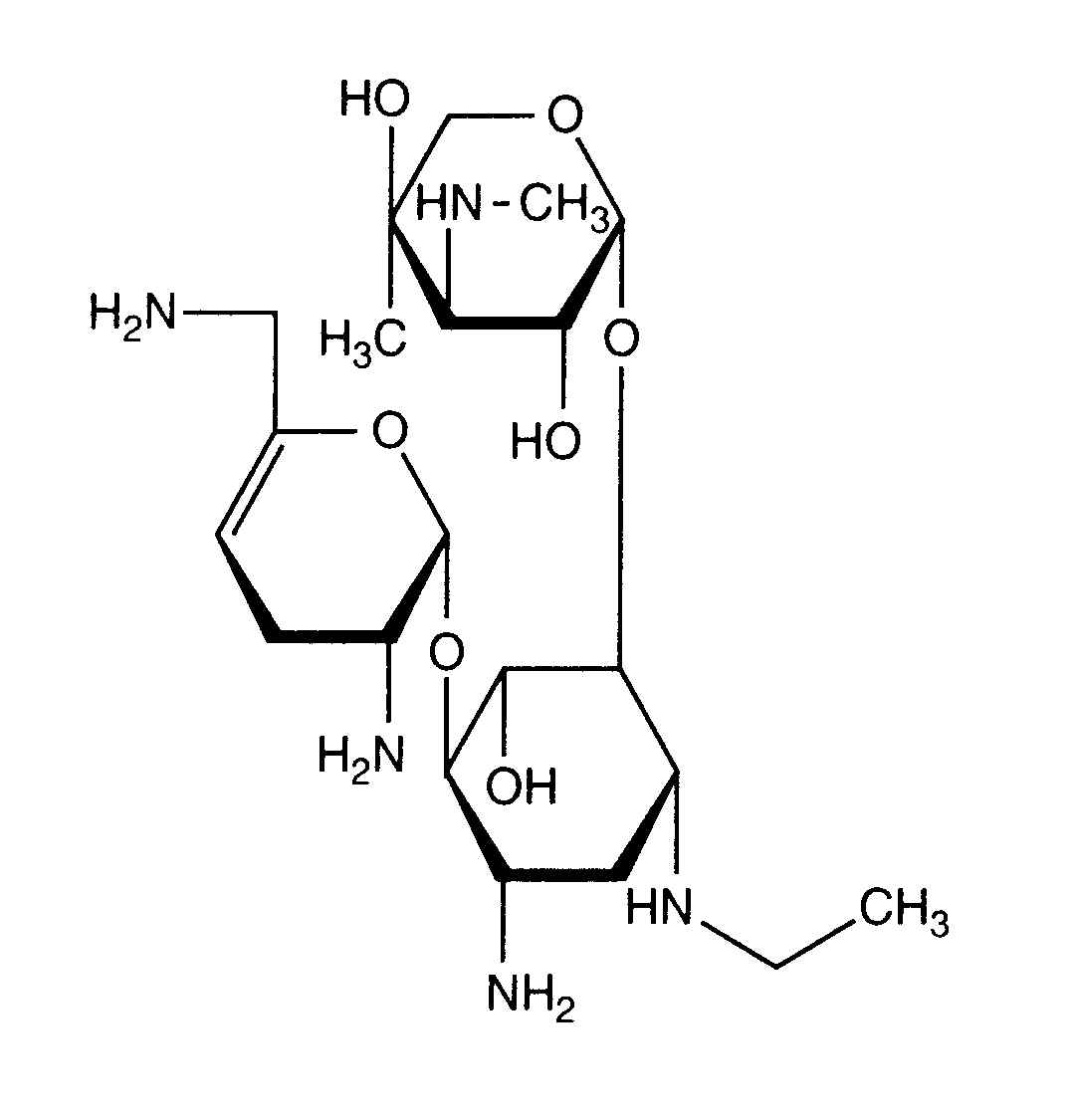
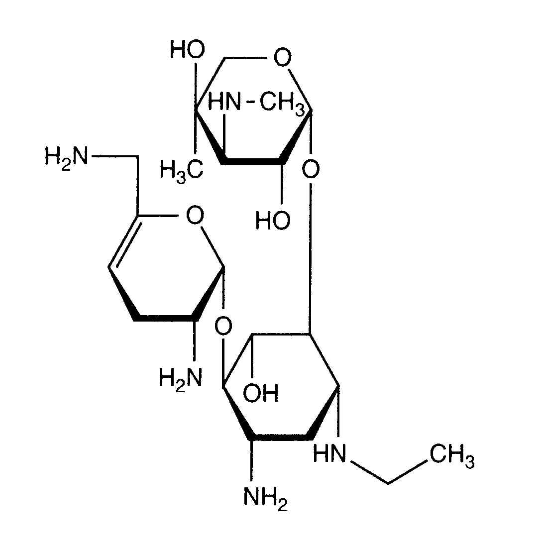
   Kemisk struktur  

Aerosol
Kompatibilitet   Aerosol   Kompatibilitet : Netilmicin sulfate               
Ingen data

  Mentions Légales