Ultimo aggiornamento :
18/03/2026
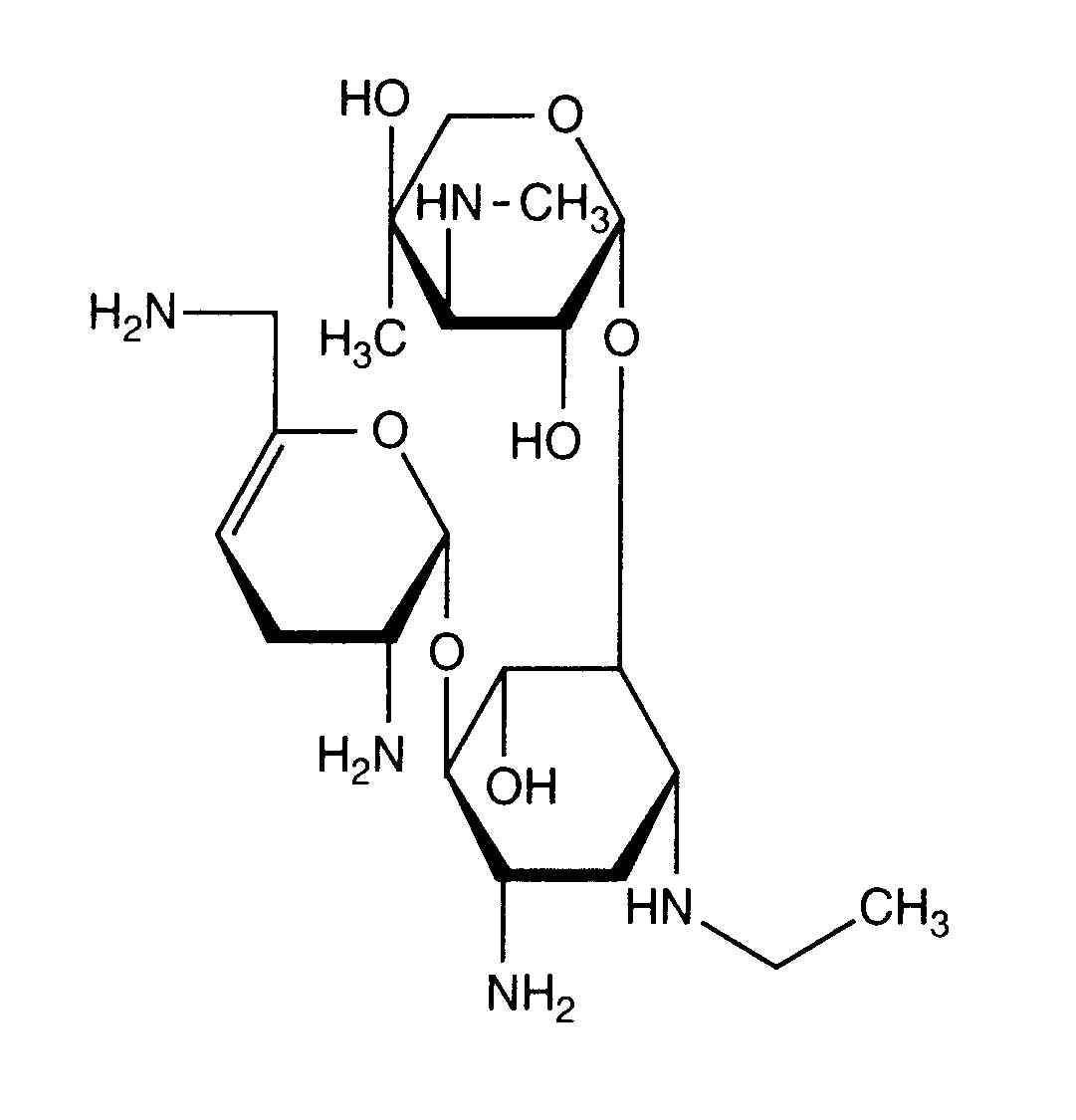
Antibiotico   Netilmicin sulfate   
Aerosol
Iniezione
Stabilità dei preparati farmaceutici Stabilità in miscela Fattori che influenzano la stabilità Compatibilità Bibliografia pdf
   Struttura chimica  

Aerosol
Compatibilità   Aerosol   Compatibilità : Netilmicin sulfate               
Assenza di dati

  Mentions Légales