Letztes “update” :
18/03/2026
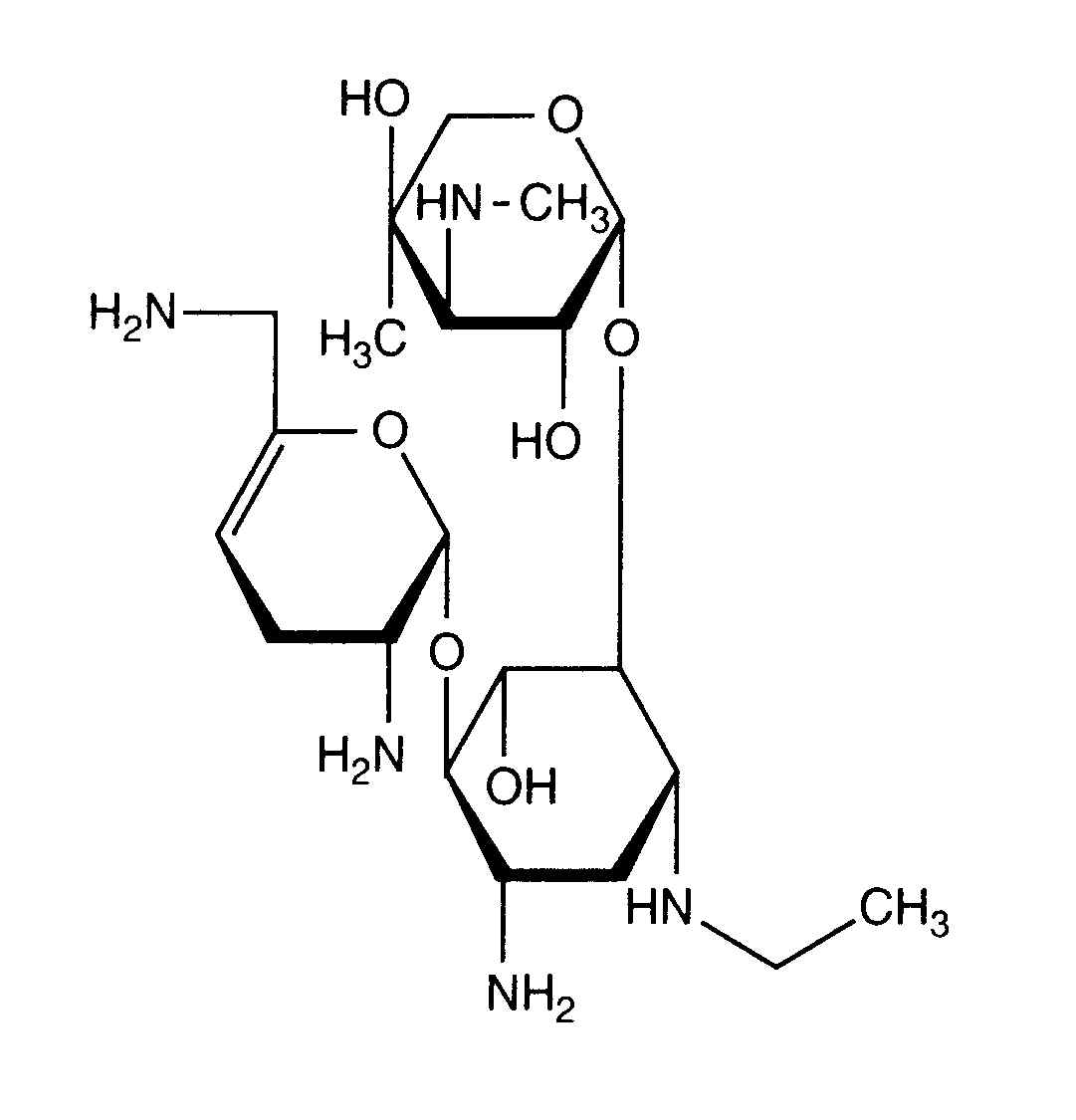
Antibiotikum   Netilmicin sulfate   
Aerosol
Injektion
Stabilität von pharmazeutischen Präparaten Gemengestabilität Stabilitätbeeinflussende Faktoren Kompatibilitäten Literaturverzeichnis pdf
   Chemische Struktur  

Aerosol
Kompatibilitäten   Aerosol   Kompatibilitäten : Netilmicin sulfate               
Keine Daten

  Mentions Légales