Последно актуализиране :
18/03/2026
Антибиотик   Netilmicin sulfate   
Аерозол
Инжекция/Инжекционен
Стабилност на лекарствени препарати Стабилност на смеси Фактори, повлияващи стабилността Съвместимост Библиография Pdf
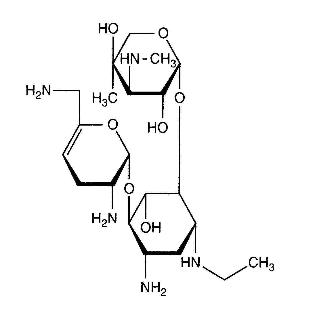
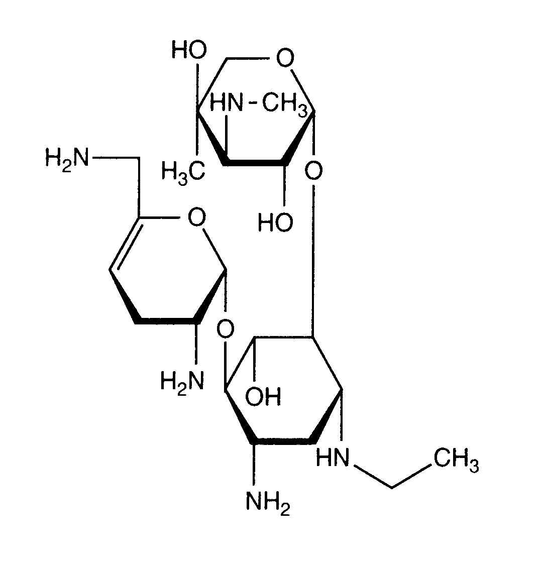
   Химична структура  

Аерозол
Съвместимост   Аерозол   Съвместимост : Netilmicin sulfate               
Няма данни

  Mentions Légales