Zadnji put ažurirano :
18/03/2026
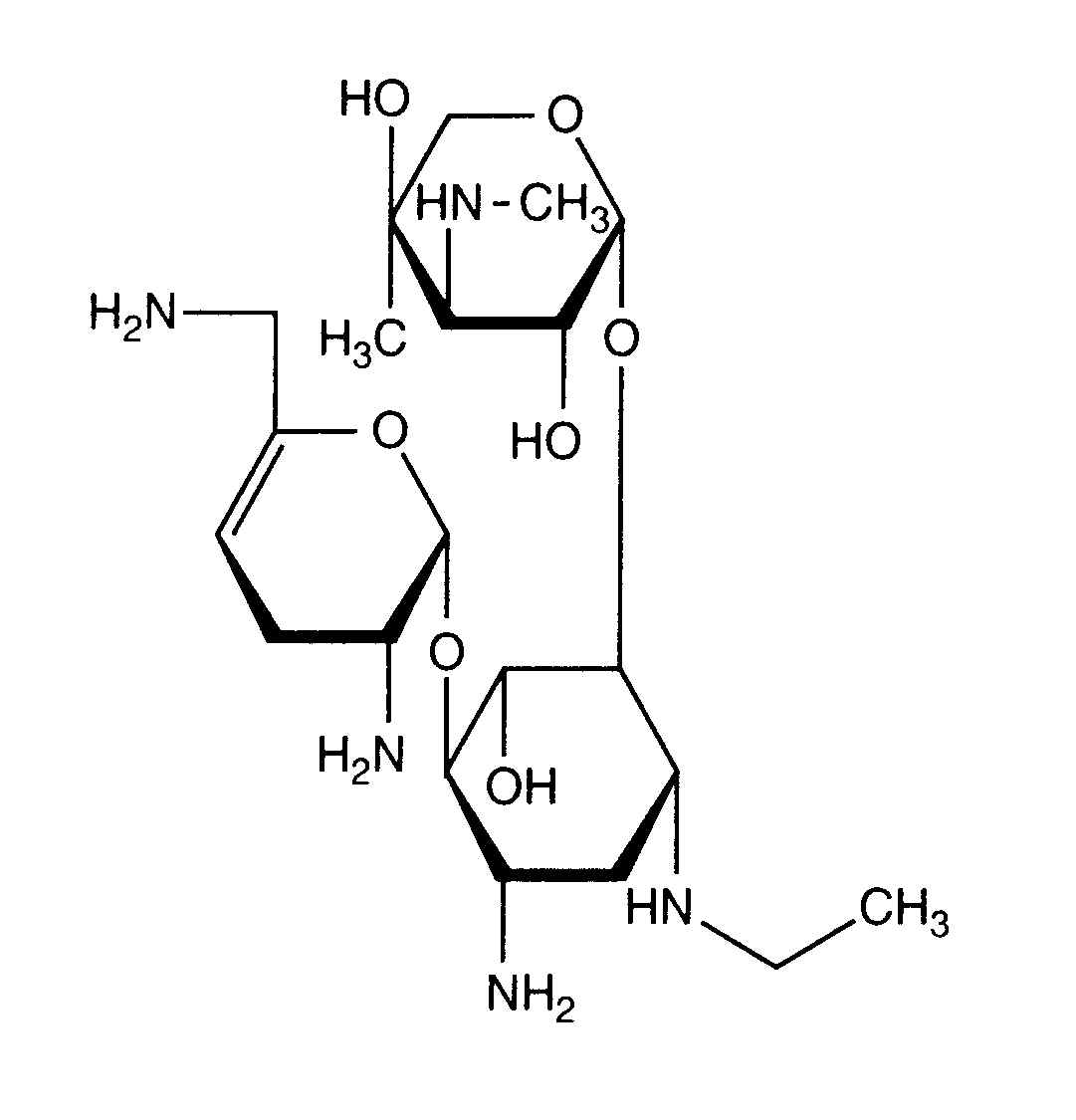
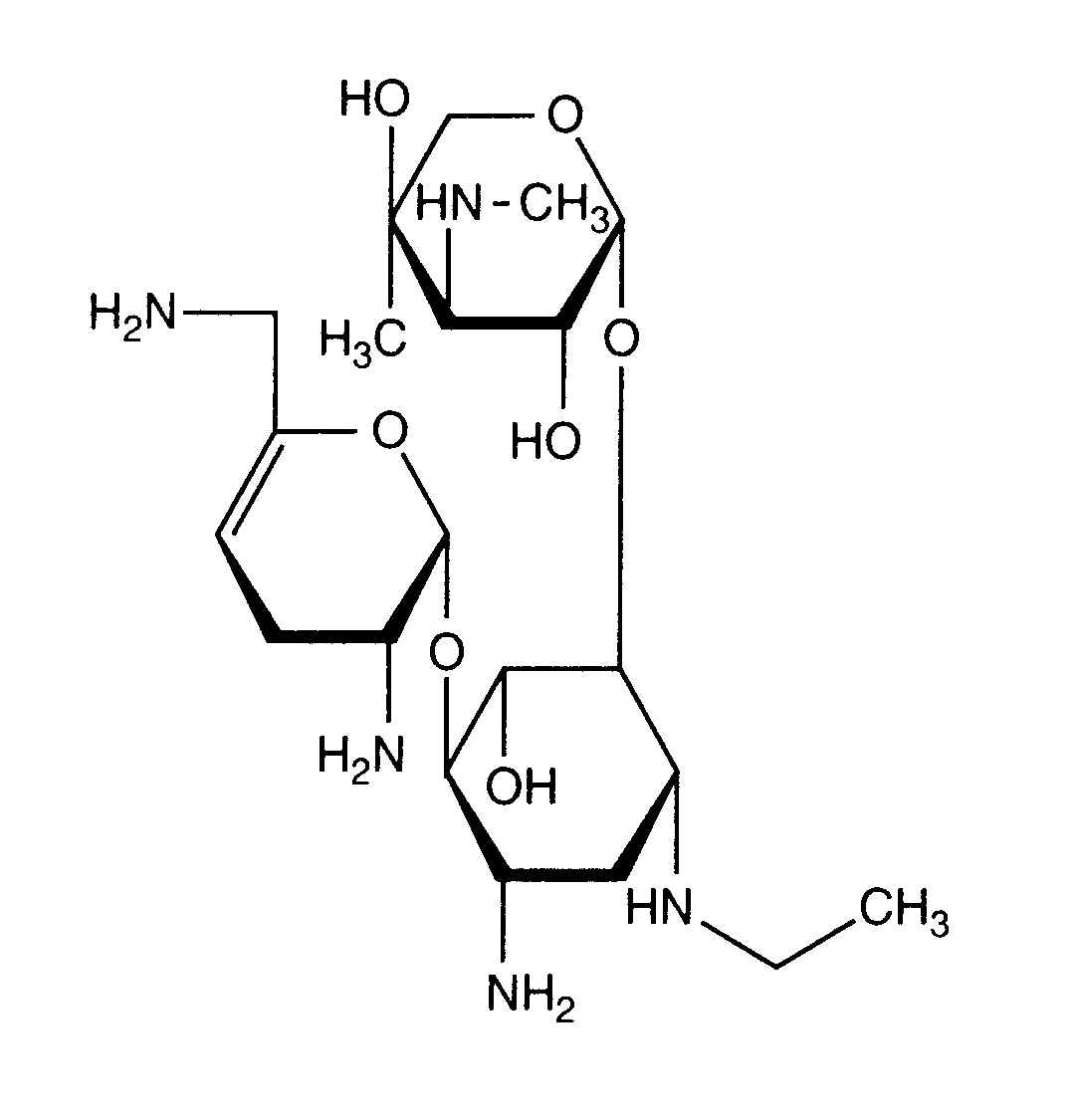
antibiotik   Netilmicin sulfate   
aerosol
injekcija
Stabilnost farmaceutskih pripravaka Stabilnost mješavine Stabilizacijski faktor Kompatibilnosti Bibliografija pdf
   Kemijska struktura  

aerosol
Kompatibilnosti   aerosol   Kompatibilnosti : Netilmicin sulfate               
bez podataka

  Mentions Légales