Viimeisin päivitys :
18/03/2026
Antibiootit   Netilmicin sulfate   
Aerosoli
Injektioneste
Vakaus lääkevalmisteen Stabilius seoksissa Tekijät, jotka vaikuttavat stabiliuteen Yhteensopivuus Viitteet pdf
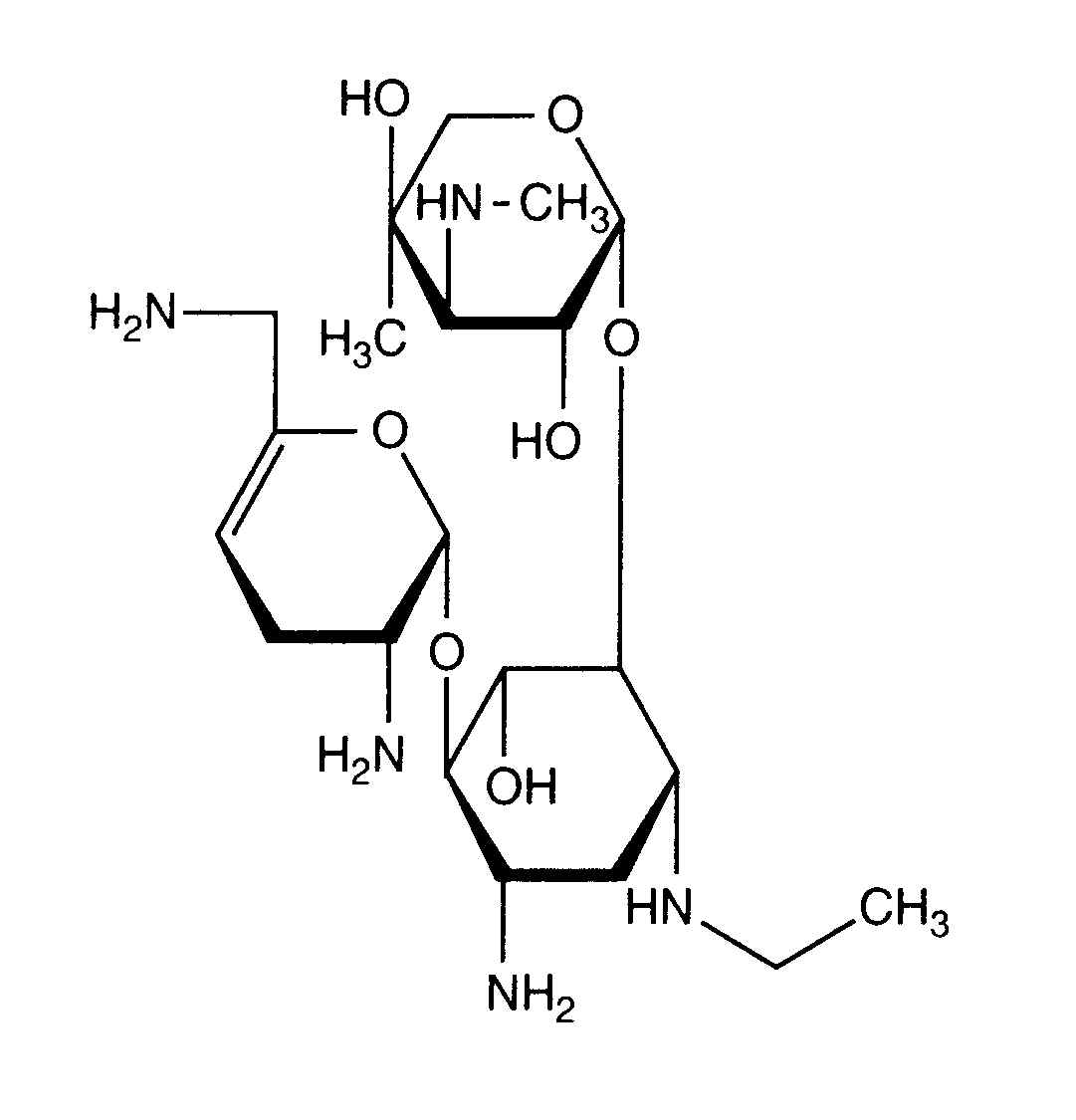
   Kemiallinen rakenne  

Aerosoli
Yhteensopivuus   Aerosoli   Yhteensopivuus : Netilmicin sulfate               
ei tietoa

  Mentions Légales