Τελευταία ενημέρωση :
18/03/2026
Αντιβιοτικό   Netilmicin sulfate   
Αεροζόλ
Ενέσιμο
Σταθερότητα και συμβατότητα των φαρμάκων Σταθερότητα σε μίγματα Παράγοντας που επηρεάζει τη σταθερότητα Συμβατότητες Βιβλιογραφία pdf
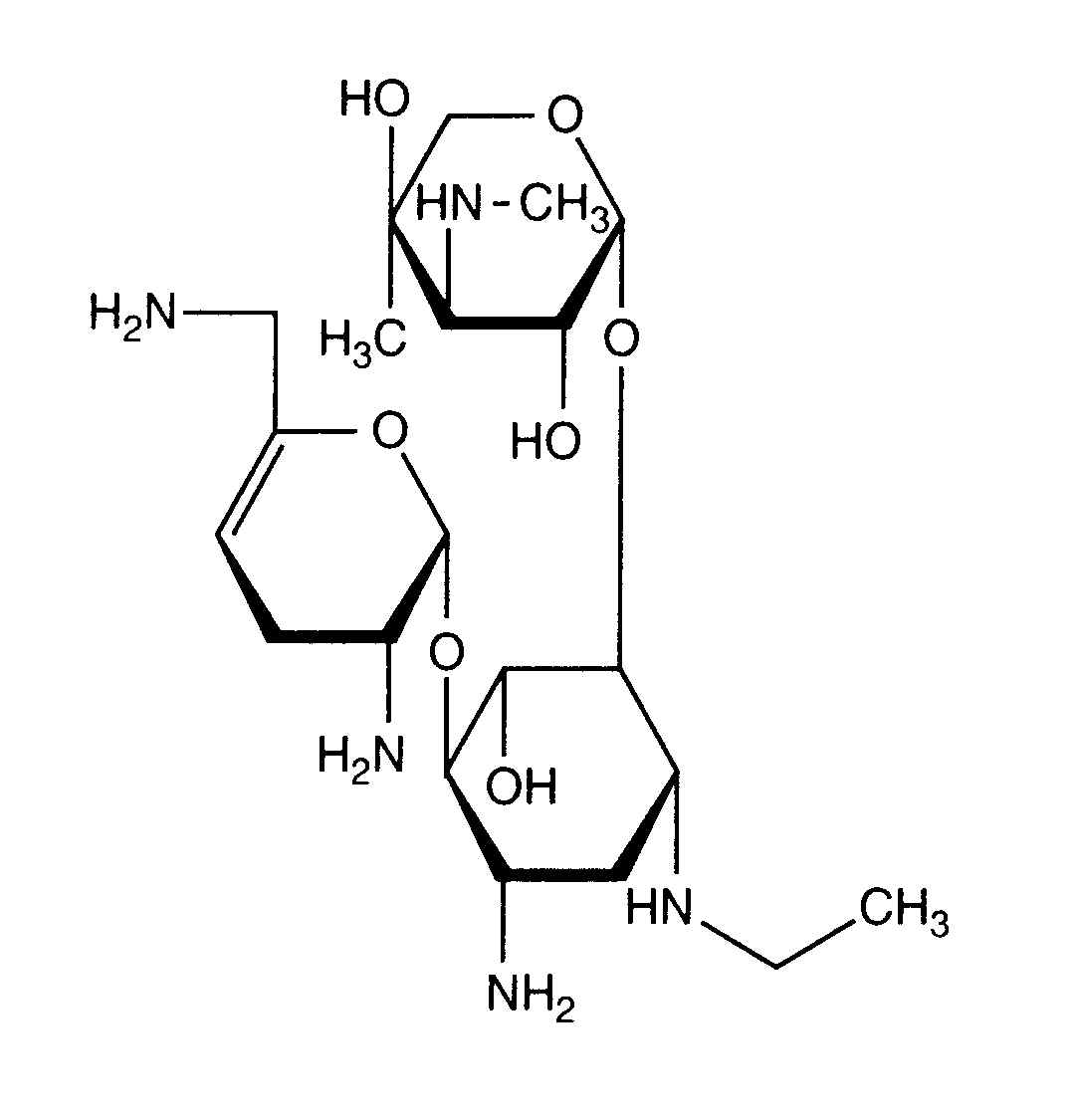
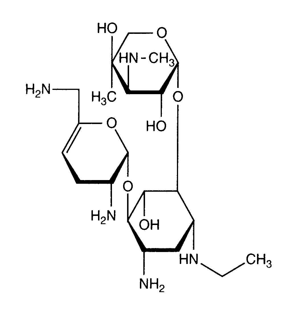
   χημική δομή  

Αεροζόλ
Συμβατότητες    Αεροζόλ   Συμβατότητες : Netilmicin sulfate               
Δεν υπάρχουν πληροφορίες

  Mentions Légales