Ultimele actualizari :
18/03/2026
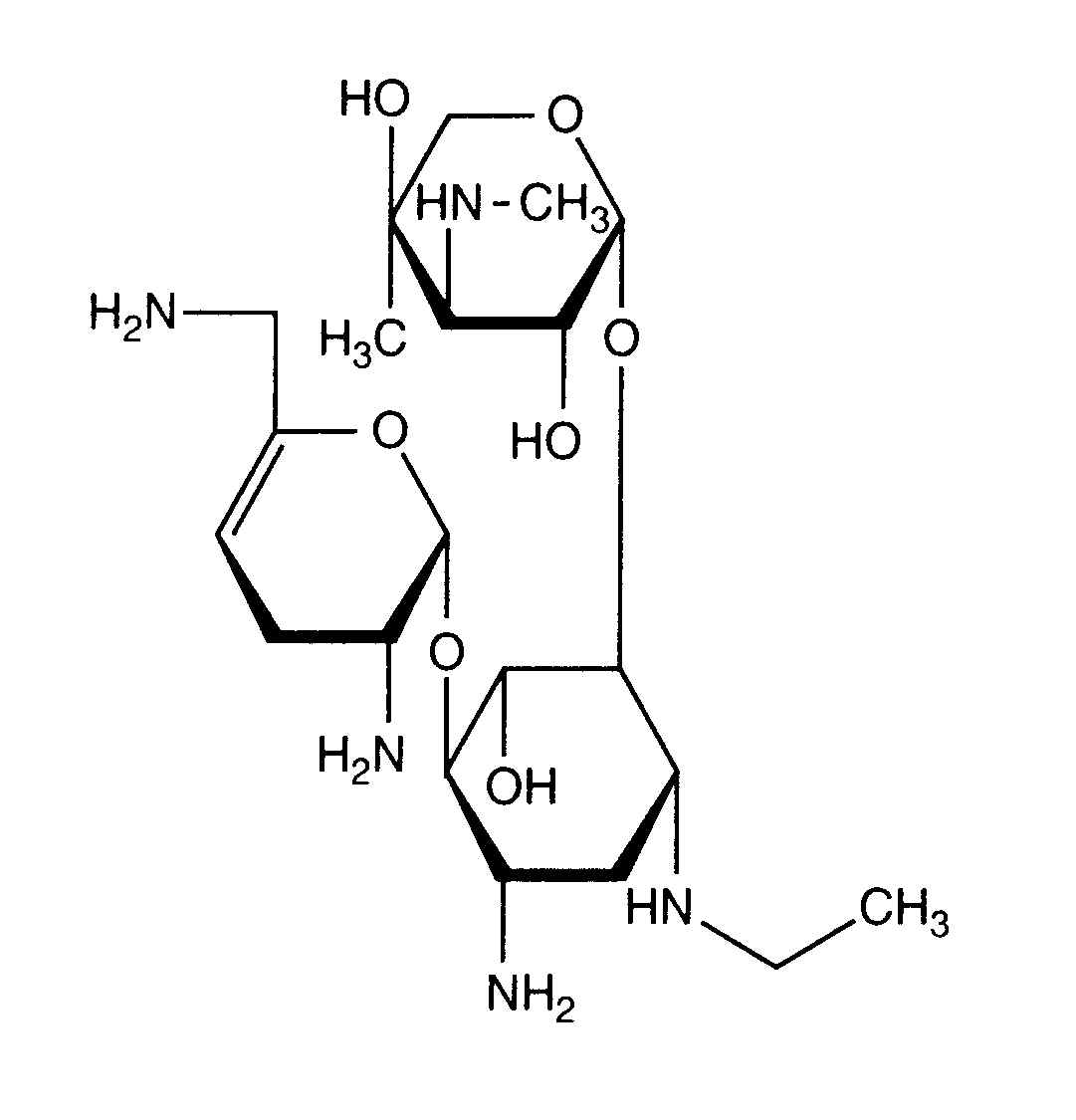
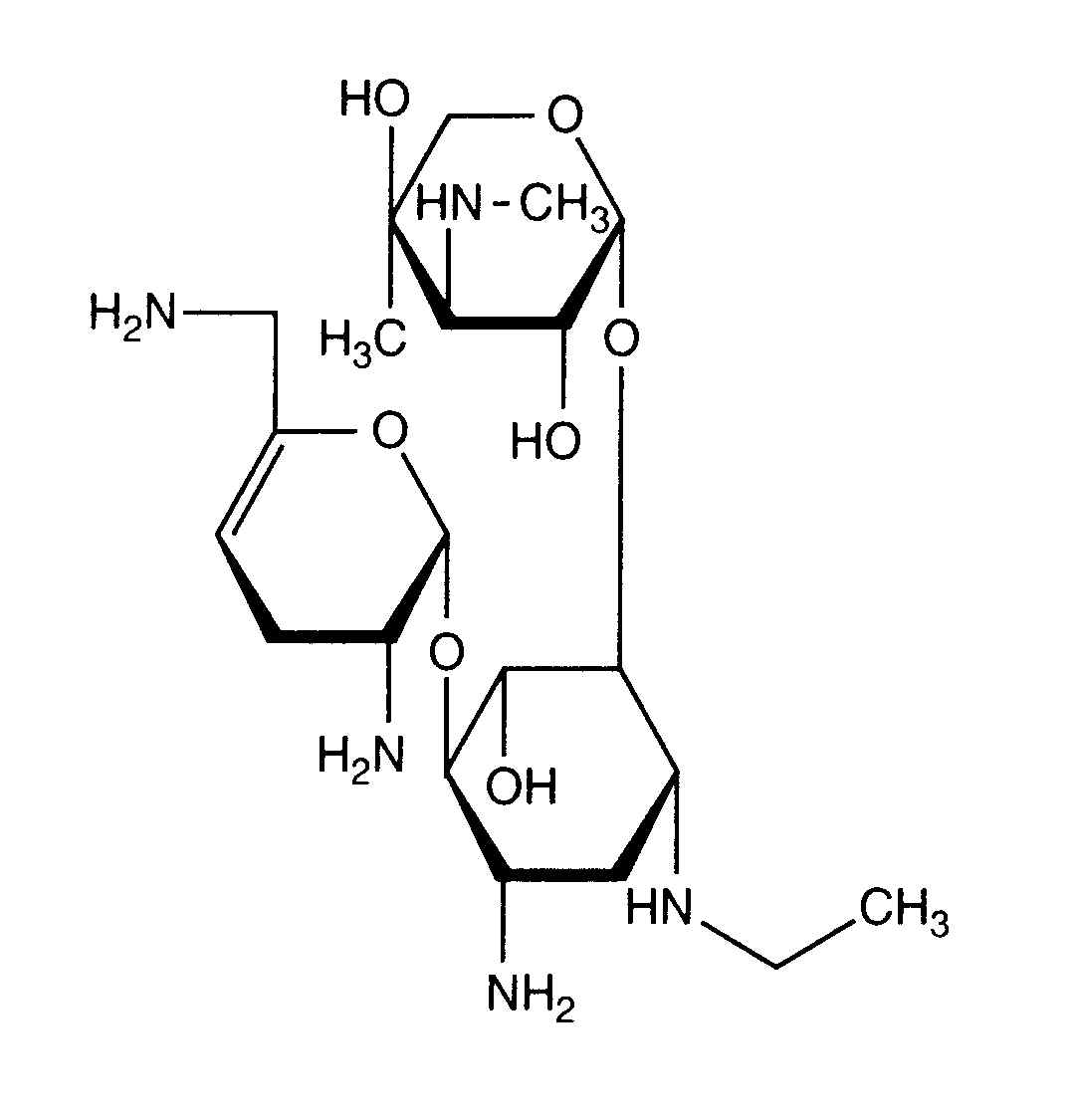
Antibiotic   Netilmicin sulfate   
Aerosol
Injectabil
Stabilitatea preparatelor farmaceutice Stabilitatea in amestec Factorii care influenteaza stabilitatea Compatibilitate Bibliografie pdf
   Formula chimica  

Aerosol
Compatibilitate   Aerosol   Compatibilitate : Netilmicin sulfate               
Absenta de date

  Mentions Légales