Cập nhật lần cuối :
18/03/2026
Thuốc hạ huyết áp   Enalapril maleate  
Dung dịch uống
Tính ổn định của các chế phẩm Độ ổn định khi trộn lẫn Những yếu tố ảnh hưởng đến độ ổn định Khả năng tương thích Tài liệu tham khảo Pdf
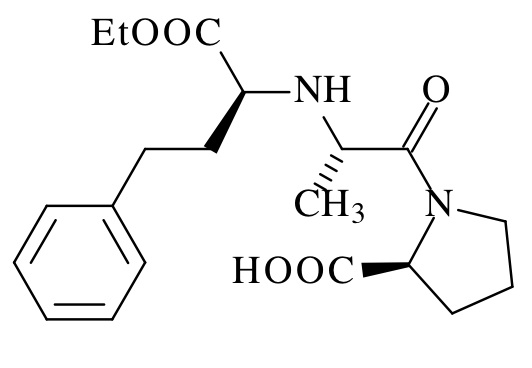
   Cấu trúc hóa học  

Dung dịch uống

Những yếu tố ảnh hưởng đến độ ổn định   Dung dịch uống   Những yếu tố ảnh hưởng đến độ ổn định : Enalapril maleate        
Mục lục
Nhiệt độ Tăng Tạo thành Phân hủy 2561
pH PH = 3 Tạo thành Tăng độ ổn định 2561

  Mentions Légales