Poslední aktualizace :
18/03/2026
Antihypertenzivum   Enalapril maleate  
Perorální roztok
Stabilita farmaceutických přípravků Stabilita směsí Faktory ovlivňující stabilitu Kompatibilita Odkazy pdf
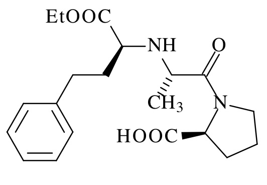
   Chemický vzorec  

Perorální roztok

Faktory ovlivňující stabilitu   Perorální roztok   Faktory ovlivňující stabilitu : Enalapril maleate        
Odkazy
Teplota Zvyšuje Indukuje Rozklad 2561
pH pH = 3 Indukuje Zvýšená stabilita 2561

  Mentions Légales