Последнее обновление :
05/12/2025
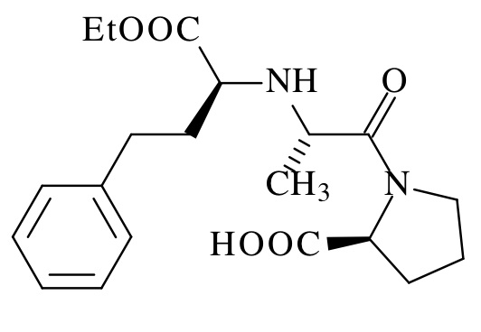
Антигипертензивное средство   Enalapril maleate  
Раствор для перорального приёма
Стабильность фармацевтических препаратов Стабильность смесей Факторы, которые влияют на стабильность Совместимость Библиография pdf
   Химическая структура  

Раствор для перорального приёма
Стабильность смесей   Раствор для перорального приёма   Стабильность смесей : Enalapril maleate     
данных нет

  Mentions Légales