Laatste update :
18/03/2026
Antihypertensivum   Enalapril maleate  
Orale Oplossing
Stabiliteit van farmaceutische preparaten Stabiliteit in mengsels Factoren die de stabiliteit beïnvloeden Verenigbaarheden Literatuur pdf
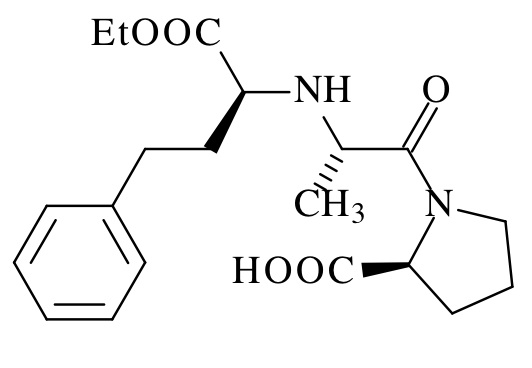
   Molecuulstructuur  

Orale Oplossing

Factoren die de stabiliteit beïnvloeden   Orale Oplossing   Factoren die de stabiliteit beïnvloeden : Enalapril maleate        
Literatuur
Temperatuur Versterking Veroorzaakt Ontleding 2561
pH pH = 3 Veroorzaakt Grotere stabiliteit 2561

  Mentions Légales