Ultimo aggiornamento :
18/03/2026
Antipertensivo   Enalapril maleate  
Soluzione orale
Stabilità dei preparati farmaceutici Stabilità in miscela Fattori che influenzano la stabilità Compatibilità Bibliografia pdf
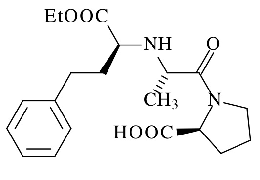
   Struttura chimica  

Soluzione orale

Fattori che influenzano la stabilità   Soluzione orale   Fattori che influenzano la stabilità : Enalapril maleate        
Bibliografia
Temperatura Aumento Provoca Degradazione 2561
pH pH = 3 Provoca Aumento della stabilità 2561

  Mentions Légales