zadnja posodobitev :
18/03/2026
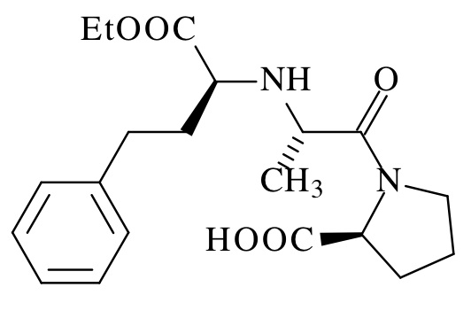
Antihipertenziv   Enalapril maleate  
Peroralna raztopina
Stabilnost farmacevtskih preparatov Stabilnost mešanice Faktorji, ki vplivajo na stabilnost Kompatibilnost Viri pdf
   Kemična formula  

Peroralna raztopina

Faktorji, ki vplivajo na stabilnost   Peroralna raztopina   Faktorji, ki vplivajo na stabilnost : Enalapril maleate        
Viri
Temperatura povečanje Inducirati Degradacija 2561
pH pH = 3 Inducirati Podaljšana stabilnost 2561

  Mentions Légales