Poslední aktualizace :
18/03/2026
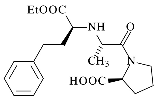
Hipotenzinis vaistas   Enalapril maleate  
Geriamas tirpalas
Stabilumas farmacinių preparatų Mišinių stabilumas Stabilumą lemiantys veiksniai Suderinamumas Bibliografija pdf
   Cheminė sandara  

Geriamas tirpalas

Stabilumą lemiantys veiksniai   Geriamas tirpalas   Stabilumą lemiantys veiksniai : Enalapril maleate        
Nuorodos
Temperatūra Padidėjimas Skatina Skilimas 2561
pH pH = 3 Skatina Didesnis stabilumas 2561

  Mentions Légales