Letztes “update” :
05/12/2025
Antihypertonikum   Enalapril maleate  
Lösung zum Einnehmen
Stabilität von pharmazeutischen Präparaten Gemengestabilität Stabilitätbeeinflussende Faktoren Kompatibilitäten Literaturverzeichnis pdf
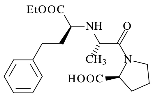
   Chemische Struktur  

Lösung zum Einnehmen

Stabilitätbeeinflussende Faktoren   Lösung zum Einnehmen   Stabilitätbeeinflussende Faktoren : Enalapril maleate        
Literaturverzeichnis
Temperatur Erhöhung Führt zu Degradation 2561
pH pH = 3 Führt zu Stabilitätssteigerung 2561

  Mentions Légales