Siste oppdatering :
18/03/2026
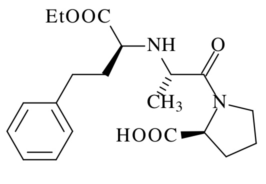
Antihypertensiva   Enalapril maleate  
Mikstur
Stabilitet av farmasøytiske preparater Stabilitet i blandinger Faktorer som påvirker stabiliteten Kompatibilitet Referanser pdf
   Kjemisk struktur  

Mikstur

Faktorer som påvirker stabiliteten   Mikstur   Faktorer som påvirker stabiliteten : Enalapril maleate        
Referanser
Temperatur Økning Induserer Degradasjon 2561
pH pH = 3 Induserer Økt stabilitet 2561

  Mentions Légales