Последно актуализиране :
18/03/2026
Антихипертензивно средство   Enalapril maleate  
Орален разтвор
Стабилност на лекарствени препарати Стабилност на смеси Фактори, повлияващи стабилността Съвместимост Библиография Pdf
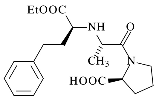
   Химична структура  

Орален разтвор

Фактори, повлияващи стабилността   Орален разтвор   Фактори, повлияващи стабилността : Enalapril maleate        
Библиография
Температура Увеличаване Предизвиква Разграждане 2561
рН pH = 3 Предизвиква Увеличена стабилност 2561

  Mentions Légales