Ultimele actualizari :
18/03/2026
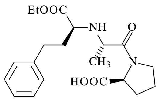
Antihipertensiv   Enalapril maleate  
Soluţie orală
Stabilitatea preparatelor farmaceutice Stabilitatea in amestec Factorii care influenteaza stabilitatea Compatibilitate Bibliografie pdf
   Formula chimica  

Soluţie orală

Factorii care influenteaza stabilitatea   Soluţie orală   Factorii care influenteaza stabilitatea : Enalapril maleate        
Bibiografie
Temperatura Cresterea Provoaca Degradare 2561
pH pH = 3 Provoaca Cresterea stabilitatii 2561

  Mentions Légales