Viimeisin päivitys :
18/03/2026
Verenpainelääkkeet   Enalapril maleate  
Oraaliliuos
Vakaus lääkevalmisteen Stabilius seoksissa Tekijät, jotka vaikuttavat stabiliuteen Yhteensopivuus Viitteet pdf
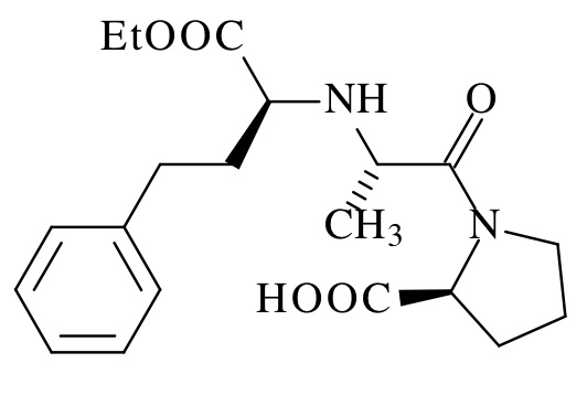
   Kemiallinen rakenne  

Oraaliliuos

Tekijät, jotka vaikuttavat stabiliuteen   Oraaliliuos   Tekijät, jotka vaikuttavat stabiliuteen : Enalapril maleate        
Viitteet
Lämpötila Nousu Aiheuttaa Hajoaminen 2561
pH pH = 3 Aiheuttaa Lisääntynyt stabilius 2561

  Mentions Légales