Останнє оновлення :
18/03/2026
Антигіпертензивний   Enalapril maleate  
Розчин для перорального застосування
Стабільність фармацевтичних препаратів Стійкість сумішей Фактори, що впливають на стабільність Сумісність Список літератури pdf
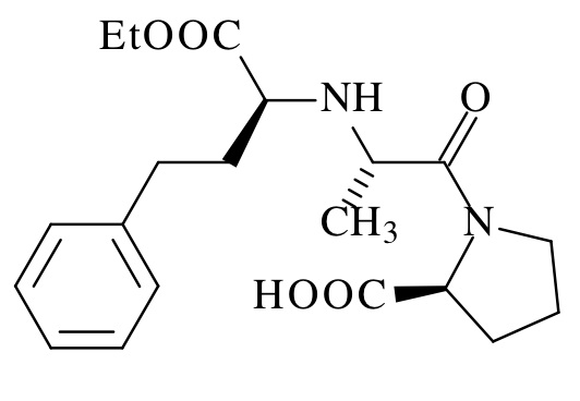
   Хімічна структура  

Розчин для перорального застосування

Фактори, що впливають на стабільність   Розчин для перорального застосування   Фактори, що впливають на стабільність : Enalapril maleate        
Список літератури
температура Збільшити Спонукає хімічна деградація 2561
pH pH = 3 Спонукає Покращена стабільність 2561

  Mentions Légales