viimane versioon :
18/03/2026
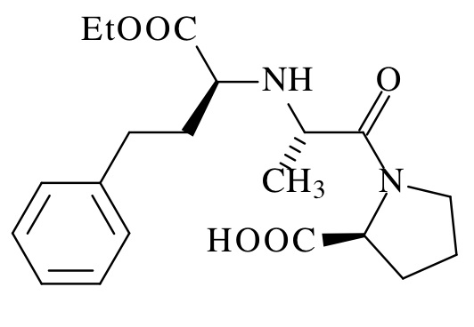
Antihüpertensiivne ravim   Enalapril maleate  
suukaudne lahus
Stabiilsust ravimpreparaadid Stabiilsust mõjutavad tegurid stabiilsust mõjutavad faktorid Sobimatus Viited pdf
   keemiline struktuur  

suukaudne lahus

stabiilsust mõjutavad faktorid   suukaudne lahus   stabiilsust mõjutavad faktorid : Enalapril maleate        
Viited
temperatuur suurenemine indutseerib degradatsioon 2561
pH pH = 3 indutseerib stabiilsuse suurenemine 2561

  Mentions Légales