Senaste uppdateringen :
18/03/2026
Antihypertensivum   Enalapril maleate  
Oral lösning
Stabilitet av läkemedel Stabilitet i blandningar Faktorer som påverkar stabiliteten Kompatibilitet Hänvisningar pdf
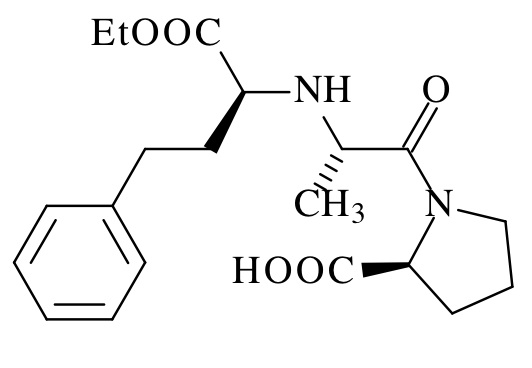
   Molekylstruktur  

Oral lösning

Faktorer som påverkar stabiliteten   Oral lösning   Faktorer som påverkar stabiliteten : Enalapril maleate        
Hänvisningar
Temperatur Ökning Orsakar Nedbrytning 2561
pH pH = 3 Orsakar Ökad stabilitet 2561

  Mentions Légales