Posledná aktualizácia :
18/03/2026
antihypertenzívum   Enalapril maleate  
Perorálny roztok
Stabilita farmaceutických prípravkov Stabilita v zmesiach Faktory ovplyvňujúce stabilitu Kompatibility Odkazy na literatúru PDF
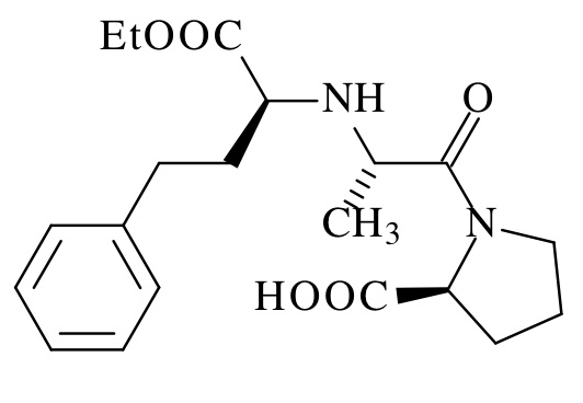
   Chemický vzorec  

Perorálny roztok

Faktory ovplyvňujúce stabilitu   Perorálny roztok   Faktory ovplyvňujúce stabilitu : Enalapril maleate        
odkazy na lieteratúru
teplota vzostup/nárast indukuje degradácia 2561
pH pH = 3 indukuje zlepšená stabilita 2561

  Mentions Légales