最新更新 :
18/03/2026
降圧薬   Enalapril maleate  
経口液
調剤時の安定性 混合時の安定性 安定性に影響する因子 互換性 引用文献 PDF
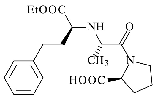
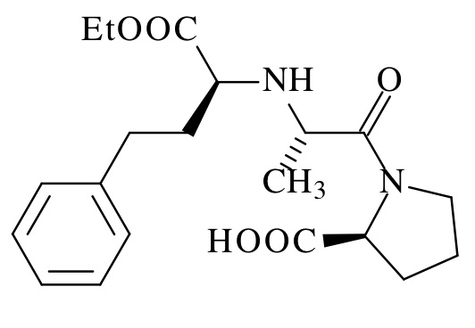
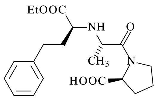
   化学構造  

経口液

安定性に影響する因子   経口液   安定性に影響する因子 : Enalapril maleate        
引用文献
温度 増加 誘導 分解 2561
pH pH = 3 誘導 安定性促進 2561

  Mentions Légales