Останнє оновлення :
18/03/2026
Антибіотик   Daptomycin  
ін'єкція
Стійкість в розчинах Стійкість сумішей Фактори, що впливають на стабільність Сумісність Шлях введення Список літератури pdf
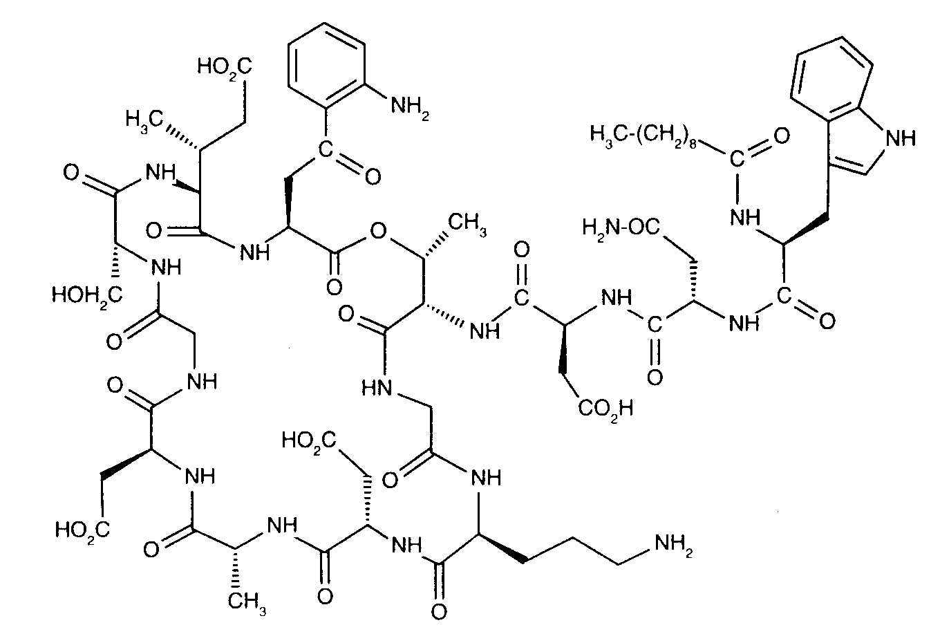
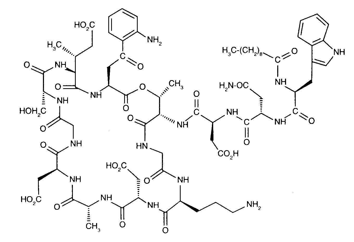
   Хімічна структура  

Торгова назва   Торгова назва     

Торгові назви є орієнтовними, а склад допоміжних речовин може бути різним залежно від країни та виробника

Cubicin Індія, Ірландія, Ісландія, Іспанія, Італія, Австрія, Австралія, Аргентина, Великобританія, Венесуела, Греція, Данія, Канада, Колумбія, Малайзія, Мексика, Нідерланди, Німеччина, Нова Зеландія, Норвегія, Польща, Португалія, Румунія, Сполучені Штати Америки, Туреччина, Угорщина, Фінляндія, Франція, Чилі, Швейцарія, Швеція, Японія
Daptomicina Іспанія, Італія, Аргентина
Daptomicine Великобританія, Німеччина, Норвегія, Угорщина, Фінляндія
Exfuno Бразилія, Чилі
Stenkivar Нігерія
Trisk Бразилія
Сумісність   ін'єкція   Сумісність : Daptomycin              
explication_incompatibilite_molecules
З'єднання Розчинник Список літератури
сумісний
ін'єкція Daptomycin
ін'єкція Aztreonam
2271
Миттєві опади Несумісні
ін'єкція Daptomycin 6.1 mg/ml
ін'єкція Blinatumomab 0.125 & 0.375 µg/ml
Натрію хлорид 0,9% 3976
Неуточнена несумісність Несумісні
ін'єкція Daptomycin
Глюкоза 5% 2271
Хімічна нестійкість Несумісні
ін'єкція Daptomycin
Глюкоза 5% 3439
сумісний
ін'єкція Daptomycin 16,7 mg/ml
ін'єкція Aztreonam 16,7 mg/ml
Натрію хлорид 0,9% 1937
сумісний
ін'єкція Daptomycin
Натрію хлорид 0,9% 2271
сумісний
ін'єкція Daptomycin 10 mg/ml
ін'єкція Caspofungin acetate 0,7 mg/ml
Натрію хлорид 0,9% 2247
Неуточнена несумісність Несумісні
ін'єкція Daptomycin
NaCl 0,45% Глюкоза 2,5% 2271
сумісний
ін'єкція Daptomycin 21 mg/ml
ін'єкція Cefepime dihydrochloride 83.3 mg/ml
Глюкоза 5% 4254
сумісний
ін'єкція Daptomycin 21 mg/ml
ін'єкція Cefepime dihydrochloride 83.3 mg/ml
Натрію хлорид 0,9% 4254
сумісний
ін'єкція Daptomycin 20 mg/ml
ін'єкція Cefiderocol sulfate tosylate 20 mg/mL
Глюкоза 5% 4528
сумісний
ін'єкція Daptomycin 20 mg/ml
ін'єкція Cefiderocol sulfate tosylate 20 mg/mL
Натрію хлорид 0,9% 4528
сумісний
ін'єкція Daptomycin
ін'єкція Ceftazidime
2271
сумісний
ін'єкція Daptomycin 16,7 mg/ml
ін'єкція Ceftazidime 16,7 mg/ml
Натрію хлорид 0,9% 1937
сумісний
ін'єкція Daptomycin 10 mg/ml
ін'єкція Ceftolozane / tazobactam 10/5 mg/ml
Натрію хлорид 0,9% 3828
сумісний
ін'єкція Daptomycin
ін'єкція Ceftriaxone disodium
2271
сумісний
ін'єкція Daptomycin 16,7 mg/ml
ін'єкція Ceftriaxone disodium 16,7 mg/ml
Натрію хлорид 0,9% 1937
сумісний
ін'єкція Daptomycin 18,2 mg/ml
ін'єкція Dopamine hydrochloride 3,6 mg/ml
Натрію хлорид 0,9% 1937
сумісний
ін'єкція Daptomycin 6,3 mg/ml
ін'єкція Fluconazole 1,3 mg/ml
Натрію хлорид 0,9% 1937
сумісний
ін'єкція Daptomycin
ін'єкція Fluconazole
2271
сумісний
ін'єкція Daptomycin 19,2 mg/ml
ін'єкція Gentamicin sulfate 1,5 mg/ml
Натрію хлорид 0,9% 1937
сумісний
ін'єкція Daptomycin
ін'єкція Gentamicin sulfate
2271
Неуточнена несумісність Несумісні
ін'єкція Daptomycin
NaCl 0,45% Глюкоза 5% 2271
сумісний
ін'єкція Daptomycin
ін'єкція Dopamine hydrochloride
2271
сумісний
ін'єкція Daptomycin 10 mg/ml
ін'єкція Doripenem 5 mg/ml
Глюкоза 5% 2262
сумісний
ін'єкція Daptomycin 10 mg/ml
ін'єкція Doripenem 5 mg/ml
Натрію хлорид 0,9% 2262
Негайне помутніння Несумісні
ін'єкція Daptomycin 20 mg/ml
ін'єкція Fosfomycin 30 mg/ml
Натрію хлорид 0,9% 4055
сумісний
ін'єкція Daptomycin 19,6 mg/ml
ін'єкція Heparin sodium 98 UI/ml
Натрію хлорид 0,9% 1937
сумісний
ін'єкція Daptomycin
ін'єкція Heparin sodium
2271
сумісний
ін'єкція Daptomycin 10 mg/ml
ін'єкція Isavuconazonium sulfate 1.5 mg/ml
Натрію хлорид 0,9% 3829
сумісний
ін'єкція Daptomycin 14,3 mg/ml
ін'єкція Levofloxacine 7,1 mg/ml
Натрію хлорид 0,9% 1937
сумісний
ін'єкція Daptomycin
ін'єкція Levofloxacine
2271
сумісний
ін'єкція Daptomycin 16,7 mg/ml
ін'єкція Lidocaine hydrochloride 3,3 mg/ml
Натрію хлорид 0,9% 1937
сумісний
ін'єкція Daptomycin
ін'єкція Lidocaine hydrochloride
2271
Негайне помутніння Несумісні
ін'єкція Daptomycin 20 mg/ml
ін'єкція Plazomicin sulfate 24 mg/ml
Натрію хлорид 0,9% 4145
сумісний
ін'єкція Daptomycin
ін'єкція Posaconazole
4380
сумісний
ін'єкція Daptomycin 5 mg/ml
ін'єкція Sodium bicarbonate 40 mg/ml
Жодного 3122
Помутніння через годину Несумісні
ін'єкція Daptomycin 20 mg/ml
ін'єкція Sulbactam/durlobactam 15/15 mg/ml
Натрію хлорид 0,9% 4801
сумісний
ін'єкція Daptomycin 10 mg/ml
ін'єкція Tedizolid phosphate 0.8 mg/ml
Натрію хлорид 0,9% 3827
сумісний
ін'єкція Daptomycin 21 mg/ml
ін'єкція Thiamine hydrochloride 0.2 mg/ml
Натрію хлорид 0,9% 4254
Хімічна нестійкість Несумісні
ін'єкція Daptomycin
Глюкоза 10% 3439

  Mentions Légales