Zadnji put ažurirano :
18/03/2026
antibiotik   Daptomycin  
injekcija
Stabilizacija rješenja Stabilnost mješavine Stabilizacijski faktor Kompatibilnosti način davanja lijeka Bibliografija pdf
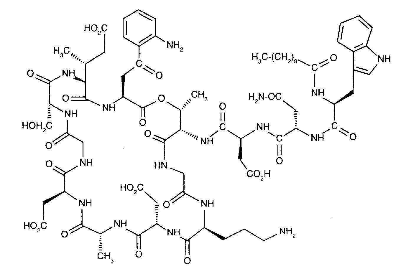
   Kemijska struktura  

Nekomercijalni   Nekomercijalni     

Zaštićeni nazivi su indikativni i sastav ekscipijensa može biti različit ovisno o državi i laboratorijima

Cubicin Indija, Argentina, Australija, Austrija, Čile, Danska, Finska, Francuska, Grčka, Irska, Island, Italija, Japan, Kanada, Kolumbija, Madžarska, Malezija, Meksiko, Nizozemska, Njemačka, Norveška, novi Zeland, Poljska, Portugal, Rumunjska, S A D, Španjolska, Švedska, Švicarska, Turska, Velika Britanija, Venecuela
Daptomicina Argentina, Italija, Španjolska
Daptomicine Finska, Madžarska, Njemačka, Norveška, Velika Britanija
Exfuno Brazil, Čile
Stenkivar Nigerija
Trisk Brazil
Kompatibilnosti   injekcija   Kompatibilnosti : Daptomycin              
Ovdje su prikazane kompatibilnosti ili nekompatibilnosti s tipom nekompatibilnosti (taloženje, promjena boje, modifikacija emulzije itd.) u ovom slučaju. Kompatibilnosti prikazane ovdje najčešće su fizikalne dok se kemijska stabilnost molekule rijetko procjenjuje. Procjena ovih mikstura je proučavana kako bi se razmotrila mogućnost primjene lijeka putem Y-mjesta. Ovi se podaci ne smiju koristiti za pripremu mikstura unaprijed u vrećicama ili štrcaljkama. Ova vrsta informacije se može pronaći u odjeljku « stabilnost u miksturama ».
molekula sredstvo za rastapanje Bibliografija
Kompatibilan
injekcija Daptomycin
injekcija Aztreonam
2271
Neposredne oborine inkompatibilan
injekcija Daptomycin 6.1 mg/ml
injekcija Blinatumomab 0.125 & 0.375 µg/ml
natrijumkorid 0,9% 3976
Neodređena nespojivost inkompatibilan
injekcija Daptomycin
glukoza 5% 2271
Kemijska nestabilnost inkompatibilan
injekcija Daptomycin
glukoza 5% 3439
Kompatibilan
injekcija Daptomycin 16,7 mg/ml
injekcija Aztreonam 16,7 mg/ml
natrijumkorid 0,9% 1937
Kompatibilan
injekcija Daptomycin
natrijumkorid 0,9% 2271
Kompatibilan
injekcija Daptomycin 10 mg/ml
injekcija Caspofungin acetate 0,7 mg/ml
natrijumkorid 0,9% 2247
Neodređena nespojivost inkompatibilan
injekcija Daptomycin
NaCl 0,45% glukoza 2,5% 2271
Kompatibilan
injekcija Daptomycin 21 mg/ml
injekcija Cefepime dihydrochloride 83.3 mg/ml
glukoza 5% 4254
Kompatibilan
injekcija Daptomycin 21 mg/ml
injekcija Cefepime dihydrochloride 83.3 mg/ml
natrijumkorid 0,9% 4254
Kompatibilan
injekcija Daptomycin 20 mg/ml
injekcija Cefiderocol sulfate tosylate 20 mg/mL
glukoza 5% 4528
Kompatibilan
injekcija Daptomycin 20 mg/ml
injekcija Cefiderocol sulfate tosylate 20 mg/mL
natrijumkorid 0,9% 4528
Kompatibilan
injekcija Daptomycin
injekcija Ceftazidime
2271
Kompatibilan
injekcija Daptomycin 16,7 mg/ml
injekcija Ceftazidime 16,7 mg/ml
natrijumkorid 0,9% 1937
Kompatibilan
injekcija Daptomycin 10 mg/ml
injekcija Ceftolozane / tazobactam 10/5 mg/ml
natrijumkorid 0,9% 3828
Kompatibilan
injekcija Daptomycin
injekcija Ceftriaxone disodium
2271
Kompatibilan
injekcija Daptomycin 16,7 mg/ml
injekcija Ceftriaxone disodium 16,7 mg/ml
natrijumkorid 0,9% 1937
Kompatibilan
injekcija Daptomycin 18,2 mg/ml
injekcija Dopamine hydrochloride 3,6 mg/ml
natrijumkorid 0,9% 1937
Kompatibilan
injekcija Daptomycin 6,3 mg/ml
injekcija Fluconazole 1,3 mg/ml
natrijumkorid 0,9% 1937
Kompatibilan
injekcija Daptomycin
injekcija Fluconazole
2271
Kompatibilan
injekcija Daptomycin 19,2 mg/ml
injekcija Gentamicin sulfate 1,5 mg/ml
natrijumkorid 0,9% 1937
Kompatibilan
injekcija Daptomycin
injekcija Gentamicin sulfate
2271
Neodređena nespojivost inkompatibilan
injekcija Daptomycin
NaCL 0,45% glukoza 2271
Kompatibilan
injekcija Daptomycin
injekcija Dopamine hydrochloride
2271
Kompatibilan
injekcija Daptomycin 10 mg/ml
injekcija Doripenem 5 mg/ml
glukoza 5% 2262
Kompatibilan
injekcija Daptomycin 10 mg/ml
injekcija Doripenem 5 mg/ml
natrijumkorid 0,9% 2262
Neposredna zamućenost inkompatibilan
injekcija Daptomycin 20 mg/ml
injekcija Fosfomycin 30 mg/ml
natrijumkorid 0,9% 4055
Kompatibilan
injekcija Daptomycin 19,6 mg/ml
injekcija Heparin sodium 98 UI/ml
natrijumkorid 0,9% 1937
Kompatibilan
injekcija Daptomycin
injekcija Heparin sodium
2271
Kompatibilan
injekcija Daptomycin 10 mg/ml
injekcija Isavuconazonium sulfate 1.5 mg/ml
natrijumkorid 0,9% 3829
Kompatibilan
injekcija Daptomycin 14,3 mg/ml
injekcija Levofloxacine 7,1 mg/ml
natrijumkorid 0,9% 1937
Kompatibilan
injekcija Daptomycin
injekcija Levofloxacine
2271
Kompatibilan
injekcija Daptomycin 16,7 mg/ml
injekcija Lidocaine hydrochloride 3,3 mg/ml
natrijumkorid 0,9% 1937
Kompatibilan
injekcija Daptomycin
injekcija Lidocaine hydrochloride
2271
Neposredna zamućenost inkompatibilan
injekcija Daptomycin 20 mg/ml
injekcija Plazomicin sulfate 24 mg/ml
natrijumkorid 0,9% 4145
Kompatibilan
injekcija Daptomycin
injekcija Posaconazole
4380
Kompatibilan
injekcija Daptomycin 5 mg/ml
injekcija Sodium bicarbonate 40 mg/ml
nijedan 3122
Zamućenost u jednom satu inkompatibilan
injekcija Daptomycin 20 mg/ml
injekcija Sulbactam/durlobactam 15/15 mg/ml
natrijumkorid 0,9% 4801
Kompatibilan
injekcija Daptomycin 10 mg/ml
injekcija Tedizolid phosphate 0.8 mg/ml
natrijumkorid 0,9% 3827
Kompatibilan
injekcija Daptomycin 21 mg/ml
injekcija Thiamine hydrochloride 0.2 mg/ml
natrijumkorid 0,9% 4254
Kemijska nestabilnost inkompatibilan
injekcija Daptomycin
glukoza 10% 3439

  Mentions Légales