Última actualización :
18/03/2026
Antibiótico   Daptomycin  
Inyectables
Estabilidad en solucion Estabilidad en mezcla Factores que influyen sobre la estabilidad Compatibilidades método de inyección Bibliografía pdf
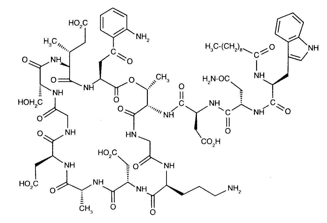
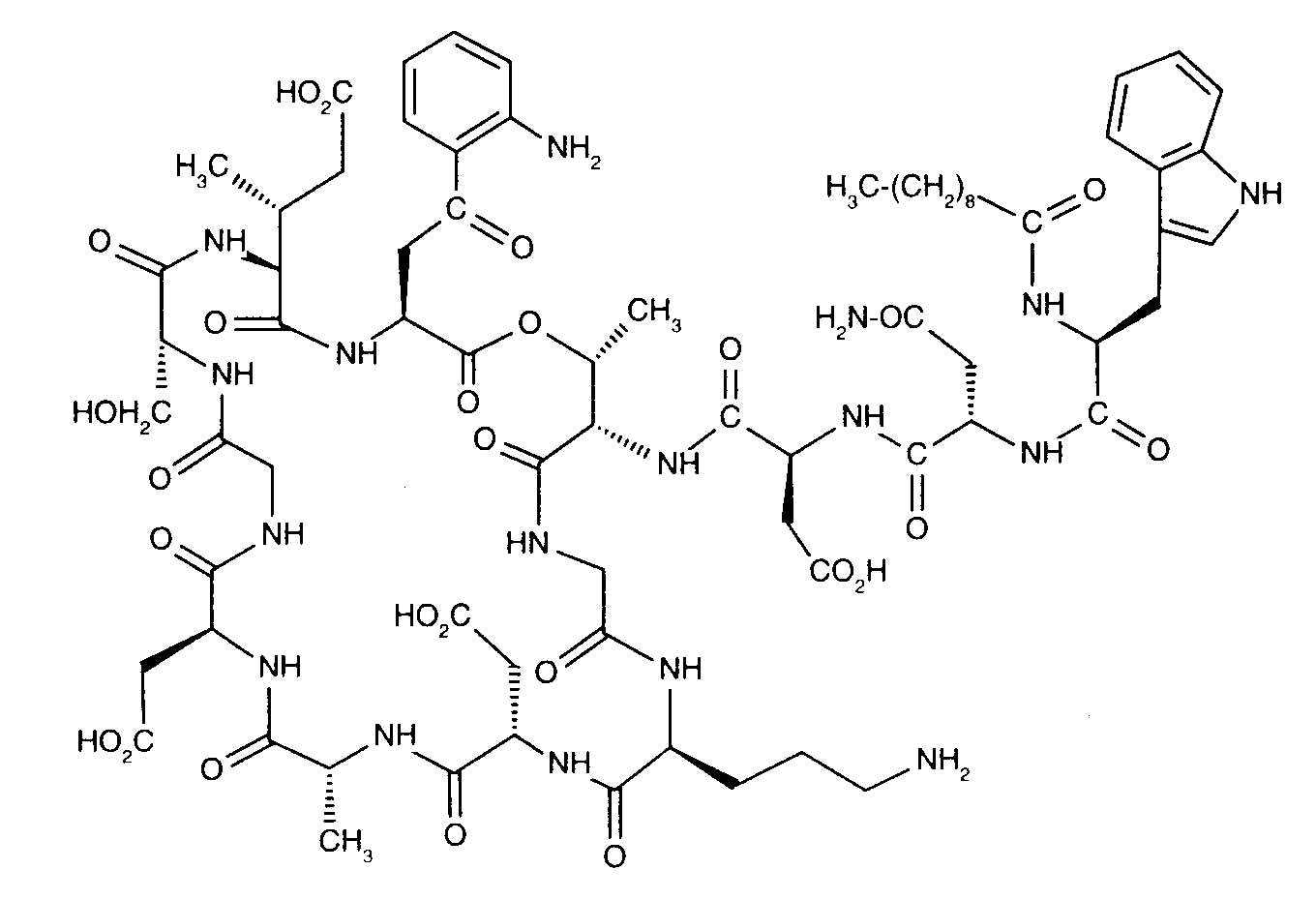
   Estructura química  

Nombre comercial   Nombre comercial     

Los nombres comerciales son orientativos y los excipientes de la formulación pueden ser distintos dependiendo del país y del laboratorio fabricante.

Cubicin Alemania, Argentina, Australia, Austria, Canadá, Chile, Colombia, Dinamarca, España, Estados Unidos de América, Finlandia, Francia, Gran Bretaña, Grecia, Hungría, India, Irlanda, Islandia, Italia, Japón, Malasia, México, Noruega, Nueva Zelanda, Países Bajos, Polonia, Portugal, Rumania, Suecia, Suiza, Turquía, Venezuela
Daptomicina Argentina, España, Italia
Daptomicine Alemania, Finlandia, Gran Bretaña, Hungría, Noruega
Exfuno Brasil, Chile
Stenkivar Nigeria
Trisk Brasil
Compatibilidades   Inyectables   Compatibilidades : Daptomycin              
Esta pantalla muestra las compatibilidades o incompatibilidades, así como el tipo de incompatibilidad (precipitación, cambio de color, modificación de una emulsión, etc). Las compatibilidades que se recogen aquí son fundamentalmente físicas, mostrando raramente la estabilidad química de la molécula. La evaluación de estas mezclas se estudió con el fin de de comprobar la posibilidad de administración en Y al paciente. Estos datos no pueden utilizarse en el caso de la preparación de mezclas dentro de bolsas o jeringas. Este tipo de información está disponible en la pantalla “Estabilidad en mezcla”.
Molécula Solvente Bibliografía
Compatible
Inyectables Daptomycin
Inyectables Aztreonam
2271
Precipitación inmediata Incompatible
Inyectables Daptomycin 6.1 mg/ml
Inyectables Blinatumomab 0.125 & 0.375 µg/ml
Cloruro de sodio 0,9% 3976
Incompatibilidad no especificada Incompatible
Inyectables Daptomycin
Glucosa 5% 2271
Inestabilidad química Incompatible
Inyectables Daptomycin
Glucosa 5% 3439
Compatible
Inyectables Daptomycin 16,7 mg/ml
Inyectables Aztreonam 16,7 mg/ml
Cloruro de sodio 0,9% 1937
Compatible
Inyectables Daptomycin
Cloruro de sodio 0,9% 2271
Compatible
Inyectables Daptomycin 10 mg/ml
Inyectables Caspofungin acetate 0,7 mg/ml
Cloruro de sodio 0,9% 2247
Incompatibilidad no especificada Incompatible
Inyectables Daptomycin
NaCl 0,45% Glucosa 2,5% 2271
Compatible
Inyectables Daptomycin 21 mg/ml
Inyectables Cefepime dihydrochloride 83.3 mg/ml
Glucosa 5% 4254
Compatible
Inyectables Daptomycin 21 mg/ml
Inyectables Cefepime dihydrochloride 83.3 mg/ml
Cloruro de sodio 0,9% 4254
Compatible
Inyectables Daptomycin 20 mg/ml
Inyectables Cefiderocol sulfate tosylate 20 mg/mL
Glucosa 5% 4528
Compatible
Inyectables Daptomycin 20 mg/ml
Inyectables Cefiderocol sulfate tosylate 20 mg/mL
Cloruro de sodio 0,9% 4528
Compatible
Inyectables Daptomycin
Inyectables Ceftazidime
2271
Compatible
Inyectables Daptomycin 16,7 mg/ml
Inyectables Ceftazidime 16,7 mg/ml
Cloruro de sodio 0,9% 1937
Compatible
Inyectables Daptomycin 10 mg/ml
Inyectables Ceftolozane / tazobactam 10/5 mg/ml
Cloruro de sodio 0,9% 3828
Compatible
Inyectables Daptomycin
Inyectables Ceftriaxone disodium
2271
Compatible
Inyectables Daptomycin 16,7 mg/ml
Inyectables Ceftriaxone disodium 16,7 mg/ml
Cloruro de sodio 0,9% 1937
Compatible
Inyectables Daptomycin 18,2 mg/ml
Inyectables Dopamine hydrochloride 3,6 mg/ml
Cloruro de sodio 0,9% 1937
Compatible
Inyectables Daptomycin 6,3 mg/ml
Inyectables Fluconazole 1,3 mg/ml
Cloruro de sodio 0,9% 1937
Compatible
Inyectables Daptomycin
Inyectables Fluconazole
2271
Compatible
Inyectables Daptomycin 19,2 mg/ml
Inyectables Gentamicin sulfate 1,5 mg/ml
Cloruro de sodio 0,9% 1937
Compatible
Inyectables Daptomycin
Inyectables Gentamicin sulfate
2271
Incompatibilidad no especificada Incompatible
Inyectables Daptomycin
NaCl 0,45% Glucosa 5% 2271
Compatible
Inyectables Daptomycin
Inyectables Dopamine hydrochloride
2271
Compatible
Inyectables Daptomycin 10 mg/ml
Inyectables Doripenem 5 mg/ml
Glucosa 5% 2262
Compatible
Inyectables Daptomycin 10 mg/ml
Inyectables Doripenem 5 mg/ml
Cloruro de sodio 0,9% 2262
Turbidez inmediata Incompatible
Inyectables Daptomycin 20 mg/ml
Inyectables Fosfomycin 30 mg/ml
Cloruro de sodio 0,9% 4055
Compatible
Inyectables Daptomycin 19,6 mg/ml
Inyectables Heparin sodium 98 UI/ml
Cloruro de sodio 0,9% 1937
Compatible
Inyectables Daptomycin
Inyectables Heparin sodium
2271
Compatible
Inyectables Daptomycin 10 mg/ml
Inyectables Isavuconazonium sulfate 1.5 mg/ml
Cloruro de sodio 0,9% 3829
Compatible
Inyectables Daptomycin 14,3 mg/ml
Inyectables Levofloxacine 7,1 mg/ml
Cloruro de sodio 0,9% 1937
Compatible
Inyectables Daptomycin
Inyectables Levofloxacine
2271
Compatible
Inyectables Daptomycin 16,7 mg/ml
Inyectables Lidocaine hydrochloride 3,3 mg/ml
Cloruro de sodio 0,9% 1937
Compatible
Inyectables Daptomycin
Inyectables Lidocaine hydrochloride
2271
Turbidez inmediata Incompatible
Inyectables Daptomycin 20 mg/ml
Inyectables Plazomicin sulfate 24 mg/ml
Cloruro de sodio 0,9% 4145
Compatible
Inyectables Daptomycin
Inyectables Posaconazole
4380
Compatible
Inyectables Daptomycin 5 mg/ml
Inyectables Sodium bicarbonate 40 mg/ml
Ninguno 3122
Turbidez en una hora Incompatible
Inyectables Daptomycin 20 mg/ml
Inyectables Sulbactam/durlobactam 15/15 mg/ml
Cloruro de sodio 0,9% 4801
Compatible
Inyectables Daptomycin 10 mg/ml
Inyectables Tedizolid phosphate 0.8 mg/ml
Cloruro de sodio 0,9% 3827
Compatible
Inyectables Daptomycin 21 mg/ml
Inyectables Thiamine hydrochloride 0.2 mg/ml
Cloruro de sodio 0,9% 4254
Inestabilidad química Incompatible
Inyectables Daptomycin
Glucosa 10% 3439

  Mentions Légales