آخر تحديث :
18/03/2026
مضاد حيوي   Daptomycin  
حقن
الاستقرار في حلول استقرار مخاليط العوامل التي تؤثر على الاستقرار التوافق طريقة التعاطي مراجع pdf
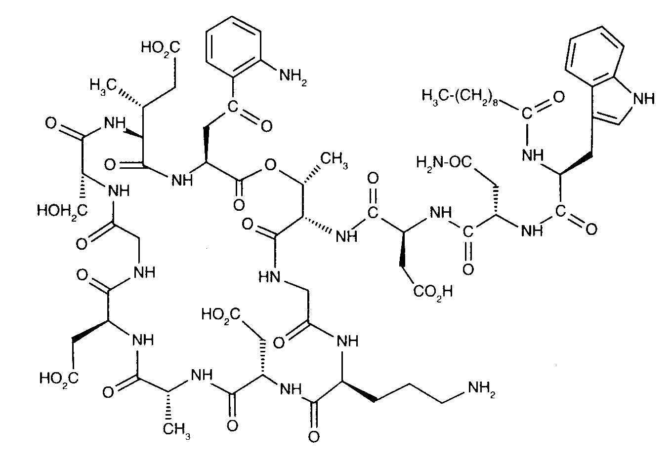
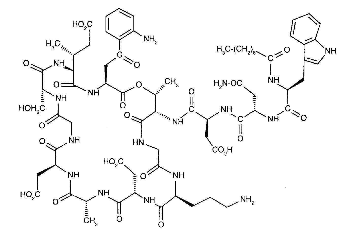
   التركيب الكيميائي  

حجز الاسم التجاري   حجز الاسم التجاري     

تحذير الأسماء التجاريه المختلفه قد تحتوي علي محتوي إضافات مختلفة حسب الدوله و المعمل

Cubicin أستراليا, ألمانيا, أيسلندا, إسبانيا, إيطاليا, الأرجنتين, البرتغال, الدنمارك, السويد, المكسيك, النرويج, النمسا, الهند, الولايات المتحدة, اليابان, ايرلندا, بريطانيا العظمي, بولندا, تركيا, تشيلي, رومانيا, زيلاندا الجديدة, سويسرا, فرنسا, فنزويلا, فنلندا, كندا, كولومبيا, ماليزيا, هنغاريا, هولندا, يونان
Daptomicina إسبانيا, إيطاليا, الأرجنتين
Daptomicine ألمانيا, النرويج, بريطانيا العظمي, فنلندا, هنغاريا
Exfuno البرازيل, تشيلي
Stenkivar نيجيريا
Trisk البرازيل
التوافق   حقن   التوافق : Daptomycin              
This screen indicates the compatibilities or incompatibilities with, in this case, the type of incompatibility (precipitation, color change, modification of an emulsion, etc.). The compatibilities shown here are mostly physical only, with the chemical stability of each molecule rarely being assessed. The evaluation of these mixtures was studied to consider the possibility of Y-site administration to the patient. These data cannot be used for making mixtures in advance in bags or syringes. This type of information is available in the screen "Stability in mixture ».
مركب مذيب مراجع
kompatibel
حقن Daptomycin
حقن Aztreonam
2271
هطول فوري غير متوافق
حقن Daptomycin 6.1 mg/ml
حقن Blinatumomab 0.125 & 0.375 µg/ml
كلوريد الصوديوم 0.9% 3976
عدم توافق غير محدد غير متوافق
حقن Daptomycin
الجلوكوز %5 2271
عدم الاستقرار الكيميائي غير متوافق
حقن Daptomycin
الجلوكوز %5 3439
kompatibel
حقن Daptomycin 16,7 mg/ml
حقن Aztreonam 16,7 mg/ml
كلوريد الصوديوم 0.9% 1937
kompatibel
حقن Daptomycin
كلوريد الصوديوم 0.9% 2271
kompatibel
حقن Daptomycin 10 mg/ml
حقن Caspofungin acetate 0,7 mg/ml
كلوريد الصوديوم 0.9% 2247
عدم توافق غير محدد غير متوافق
حقن Daptomycin
كلوريد الصوديوم 0.45% الجلوكوز 2.5% 2271
kompatibel
حقن Daptomycin 21 mg/ml
حقن Cefepime dihydrochloride 83.3 mg/ml
الجلوكوز %5 4254
kompatibel
حقن Daptomycin 21 mg/ml
حقن Cefepime dihydrochloride 83.3 mg/ml
كلوريد الصوديوم 0.9% 4254
kompatibel
حقن Daptomycin 20 mg/ml
حقن Cefiderocol sulfate tosylate 20 mg/mL
الجلوكوز %5 4528
kompatibel
حقن Daptomycin 20 mg/ml
حقن Cefiderocol sulfate tosylate 20 mg/mL
كلوريد الصوديوم 0.9% 4528
kompatibel
حقن Daptomycin
حقن Ceftazidime
2271
kompatibel
حقن Daptomycin 16,7 mg/ml
حقن Ceftazidime 16,7 mg/ml
كلوريد الصوديوم 0.9% 1937
kompatibel
حقن Daptomycin 10 mg/ml
حقن Ceftolozane / tazobactam 10/5 mg/ml
كلوريد الصوديوم 0.9% 3828
kompatibel
حقن Daptomycin
حقن Ceftriaxone disodium
2271
kompatibel
حقن Daptomycin 16,7 mg/ml
حقن Ceftriaxone disodium 16,7 mg/ml
كلوريد الصوديوم 0.9% 1937
kompatibel
حقن Daptomycin 18,2 mg/ml
حقن Dopamine hydrochloride 3,6 mg/ml
كلوريد الصوديوم 0.9% 1937
kompatibel
حقن Daptomycin 6,3 mg/ml
حقن Fluconazole 1,3 mg/ml
كلوريد الصوديوم 0.9% 1937
kompatibel
حقن Daptomycin
حقن Fluconazole
2271
kompatibel
حقن Daptomycin 19,2 mg/ml
حقن Gentamicin sulfate 1,5 mg/ml
كلوريد الصوديوم 0.9% 1937
kompatibel
حقن Daptomycin
حقن Gentamicin sulfate
2271
عدم توافق غير محدد غير متوافق
حقن Daptomycin
كلوريد الصوديوم 0.45% جلوكوز 5% 2271
kompatibel
حقن Daptomycin
حقن Dopamine hydrochloride
2271
kompatibel
حقن Daptomycin 10 mg/ml
حقن Doripenem 5 mg/ml
الجلوكوز %5 2262
kompatibel
حقن Daptomycin 10 mg/ml
حقن Doripenem 5 mg/ml
كلوريد الصوديوم 0.9% 2262
التعكر الفوري غير متوافق
حقن Daptomycin 20 mg/ml
حقن Fosfomycin 30 mg/ml
كلوريد الصوديوم 0.9% 4055
kompatibel
حقن Daptomycin 19,6 mg/ml
حقن Heparin sodium 98 UI/ml
كلوريد الصوديوم 0.9% 1937
kompatibel
حقن Daptomycin
حقن Heparin sodium
2271
kompatibel
حقن Daptomycin 10 mg/ml
حقن Isavuconazonium sulfate 1.5 mg/ml
كلوريد الصوديوم 0.9% 3829
kompatibel
حقن Daptomycin 14,3 mg/ml
حقن Levofloxacine 7,1 mg/ml
كلوريد الصوديوم 0.9% 1937
kompatibel
حقن Daptomycin
حقن Levofloxacine
2271
kompatibel
حقن Daptomycin 16,7 mg/ml
حقن Lidocaine hydrochloride 3,3 mg/ml
كلوريد الصوديوم 0.9% 1937
kompatibel
حقن Daptomycin
حقن Lidocaine hydrochloride
2271
التعكر الفوري غير متوافق
حقن Daptomycin 20 mg/ml
حقن Plazomicin sulfate 24 mg/ml
كلوريد الصوديوم 0.9% 4145
kompatibel
حقن Daptomycin
حقن Posaconazole
4380
kompatibel
حقن Daptomycin 5 mg/ml
حقن Sodium bicarbonate 40 mg/ml
لا شيء 3122
العكارة في ساعة واحدة غير متوافق
حقن Daptomycin 20 mg/ml
حقن Sulbactam/durlobactam 15/15 mg/ml
كلوريد الصوديوم 0.9% 4801
kompatibel
حقن Daptomycin 10 mg/ml
حقن Tedizolid phosphate 0.8 mg/ml
كلوريد الصوديوم 0.9% 3827
kompatibel
حقن Daptomycin 21 mg/ml
حقن Thiamine hydrochloride 0.2 mg/ml
كلوريد الصوديوم 0.9% 4254
عدم الاستقرار الكيميائي غير متوافق
حقن Daptomycin
الجلوكوز %10 3439

  Mentions Légales