Son güncelleme :
18/03/2026
Antibiyotik   Daptomycin  
Enjeksiyon
Çözeltilerin stabilitesi Karışımlardaki stabilitesi Stabiliteyi etkileyen faktörler Uyumluluk Uygulama yöntemi Kaynaklar pdf
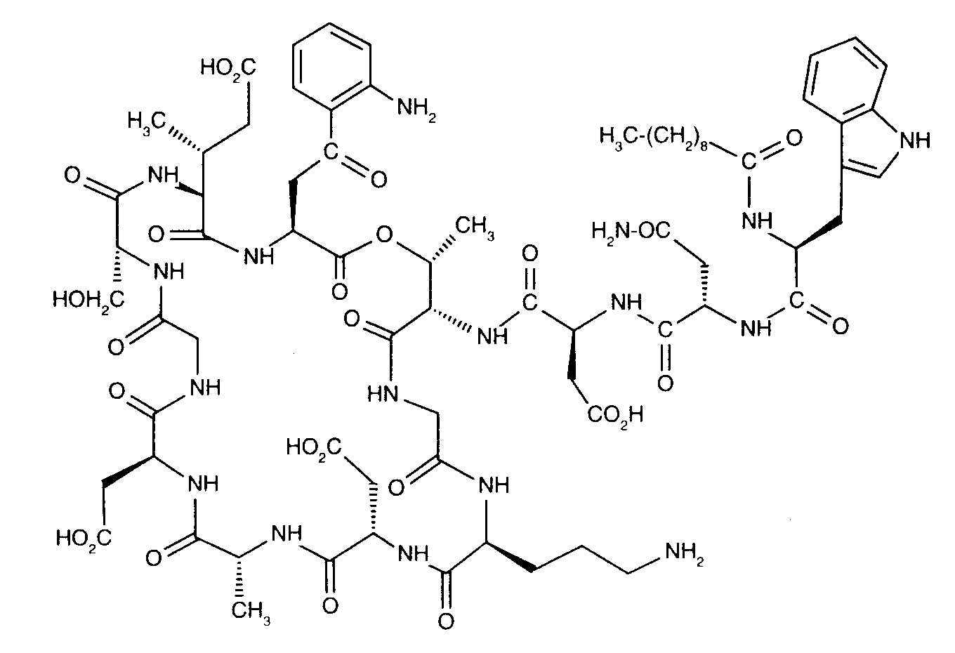
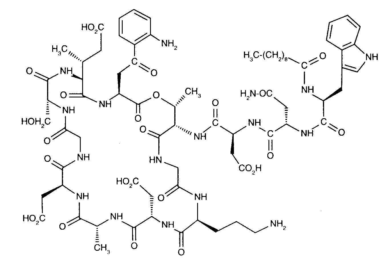
   Kimyasal yapı   

Ticari isim   Ticari isim     

Trade names are indicative and excipients composition can be different depending on the country and manufacturers

Cubicin Almanya, Amerika Birleşik Devletleri, Arjantin, Avustralya, Avusturya, Büyük Britanya, Danimarka, Finlandiya, Fransa, Hindistan, Hollanda, İrlanda, İspanya, İsveç, İsviçre, İtalya, İzlanda, Japonya, Kanada, Kolombiya, Macaristan, Malezya, Meksika, Norveç, Polonya, Portekiz, Romanya, Şili, Türkiye, Venezuela, yeni Zelanda, Yunanistan
Daptomicina Arjantin, İspanya, İtalya
Daptomicine Almanya, Büyük Britanya, Finlandiya, Macaristan, Norveç
Exfuno Brezilya, Şili
Stenkivar Nijerya
Trisk Brezilya
Uyumluluk   Enjeksiyon    Uyumluluk : Daptomycin              
Bu ekran, bu durumda uyumsuzluk tipiyle (çökelme, renk değişimi, bir emülsiyonun modifikasyonu, vb.) Uyumlulukları veya uyumsuzlukları gösterir. Burada gösterilen uyumluluklar çoğunlukla yalnızca fizikseldir ve her molekülün kimyasal stabilitesi nadiren değerlendirilir. Bu karışımların değerlendirilmesi, hastaya Y bölgesi uygulama olasılığını göz önünde bulundurmak için çalışıldı. Bu veriler önceden torba veya şırıngalarda karışım yapmak için kullanılamaz. Bu tür bilgiler "Karışımda stabilite" ekranında mevcuttur.
Bileşik Çözücü Kaynaklar
Uyumlu
Enjeksiyon Daptomycin
Enjeksiyon Aztreonam
2271
Acil yağış uyumsuz
Enjeksiyon Daptomycin 6.1 mg/ml
Enjeksiyon Blinatumomab 0.125 & 0.375 µg/ml
Sodyum klorür % 0,9 3976
Belirtilmemiş uyumsuzluk uyumsuz
Enjeksiyon Daptomycin
Glukoz %5 2271
Kimyasal kararsızlık uyumsuz
Enjeksiyon Daptomycin
Glukoz %5 3439
Uyumlu
Enjeksiyon Daptomycin 16,7 mg/ml
Enjeksiyon Aztreonam 16,7 mg/ml
Sodyum klorür % 0,9 1937
Uyumlu
Enjeksiyon Daptomycin
Sodyum klorür % 0,9 2271
Uyumlu
Enjeksiyon Daptomycin 10 mg/ml
Enjeksiyon Caspofungin acetate 0,7 mg/ml
Sodyum klorür % 0,9 2247
Belirtilmemiş uyumsuzluk uyumsuz
Enjeksiyon Daptomycin
NaCl 0,45% Glukoz 2,5% 2271
Uyumlu
Enjeksiyon Daptomycin 21 mg/ml
Enjeksiyon Cefepime dihydrochloride 83.3 mg/ml
Glukoz %5 4254
Uyumlu
Enjeksiyon Daptomycin 21 mg/ml
Enjeksiyon Cefepime dihydrochloride 83.3 mg/ml
Sodyum klorür % 0,9 4254
Uyumlu
Enjeksiyon Daptomycin 20 mg/ml
Enjeksiyon Cefiderocol sulfate tosylate 20 mg/mL
Glukoz %5 4528
Uyumlu
Enjeksiyon Daptomycin 20 mg/ml
Enjeksiyon Cefiderocol sulfate tosylate 20 mg/mL
Sodyum klorür % 0,9 4528
Uyumlu
Enjeksiyon Daptomycin
Enjeksiyon Ceftazidime
2271
Uyumlu
Enjeksiyon Daptomycin 16,7 mg/ml
Enjeksiyon Ceftazidime 16,7 mg/ml
Sodyum klorür % 0,9 1937
Uyumlu
Enjeksiyon Daptomycin 10 mg/ml
Enjeksiyon Ceftolozane / tazobactam 10/5 mg/ml
Sodyum klorür % 0,9 3828
Uyumlu
Enjeksiyon Daptomycin
Enjeksiyon Ceftriaxone disodium
2271
Uyumlu
Enjeksiyon Daptomycin 16,7 mg/ml
Enjeksiyon Ceftriaxone disodium 16,7 mg/ml
Sodyum klorür % 0,9 1937
Uyumlu
Enjeksiyon Daptomycin 18,2 mg/ml
Enjeksiyon Dopamine hydrochloride 3,6 mg/ml
Sodyum klorür % 0,9 1937
Uyumlu
Enjeksiyon Daptomycin 6,3 mg/ml
Enjeksiyon Fluconazole 1,3 mg/ml
Sodyum klorür % 0,9 1937
Uyumlu
Enjeksiyon Daptomycin
Enjeksiyon Fluconazole
2271
Uyumlu
Enjeksiyon Daptomycin 19,2 mg/ml
Enjeksiyon Gentamicin sulfate 1,5 mg/ml
Sodyum klorür % 0,9 1937
Uyumlu
Enjeksiyon Daptomycin
Enjeksiyon Gentamicin sulfate
2271
Belirtilmemiş uyumsuzluk uyumsuz
Enjeksiyon Daptomycin
NaCl %0,45 Glukoz %5 2271
Uyumlu
Enjeksiyon Daptomycin
Enjeksiyon Dopamine hydrochloride
2271
Uyumlu
Enjeksiyon Daptomycin 10 mg/ml
Enjeksiyon Doripenem 5 mg/ml
Glukoz %5 2262
Uyumlu
Enjeksiyon Daptomycin 10 mg/ml
Enjeksiyon Doripenem 5 mg/ml
Sodyum klorür % 0,9 2262
Anında bulanıklık uyumsuz
Enjeksiyon Daptomycin 20 mg/ml
Enjeksiyon Fosfomycin 30 mg/ml
Sodyum klorür % 0,9 4055
Uyumlu
Enjeksiyon Daptomycin 19,6 mg/ml
Enjeksiyon Heparin sodium 98 UI/ml
Sodyum klorür % 0,9 1937
Uyumlu
Enjeksiyon Daptomycin
Enjeksiyon Heparin sodium
2271
Uyumlu
Enjeksiyon Daptomycin 10 mg/ml
Enjeksiyon Isavuconazonium sulfate 1.5 mg/ml
Sodyum klorür % 0,9 3829
Uyumlu
Enjeksiyon Daptomycin 14,3 mg/ml
Enjeksiyon Levofloxacine 7,1 mg/ml
Sodyum klorür % 0,9 1937
Uyumlu
Enjeksiyon Daptomycin
Enjeksiyon Levofloxacine
2271
Uyumlu
Enjeksiyon Daptomycin 16,7 mg/ml
Enjeksiyon Lidocaine hydrochloride 3,3 mg/ml
Sodyum klorür % 0,9 1937
Uyumlu
Enjeksiyon Daptomycin
Enjeksiyon Lidocaine hydrochloride
2271
Anında bulanıklık uyumsuz
Enjeksiyon Daptomycin 20 mg/ml
Enjeksiyon Plazomicin sulfate 24 mg/ml
Sodyum klorür % 0,9 4145
Uyumlu
Enjeksiyon Daptomycin
Enjeksiyon Posaconazole
4380
Uyumlu
Enjeksiyon Daptomycin 5 mg/ml
Enjeksiyon Sodium bicarbonate 40 mg/ml
Yok 3122
Bir saat içinde bulanıklık uyumsuz
Enjeksiyon Daptomycin 20 mg/ml
Enjeksiyon Sulbactam/durlobactam 15/15 mg/ml
Sodyum klorür % 0,9 4801
Uyumlu
Enjeksiyon Daptomycin 10 mg/ml
Enjeksiyon Tedizolid phosphate 0.8 mg/ml
Sodyum klorür % 0,9 3827
Uyumlu
Enjeksiyon Daptomycin 21 mg/ml
Enjeksiyon Thiamine hydrochloride 0.2 mg/ml
Sodyum klorür % 0,9 4254
Kimyasal kararsızlık uyumsuz
Enjeksiyon Daptomycin
Glukoz %10 3439

  Mentions Légales