Ultimo aggiornamento :
18/03/2026
Antibiotico   Daptomycin  
Iniezione
Stabilità in soluzione Stabilità in miscela Fattori che influenzano la stabilità Compatibilità metodo di iniezione Bibliografia pdf
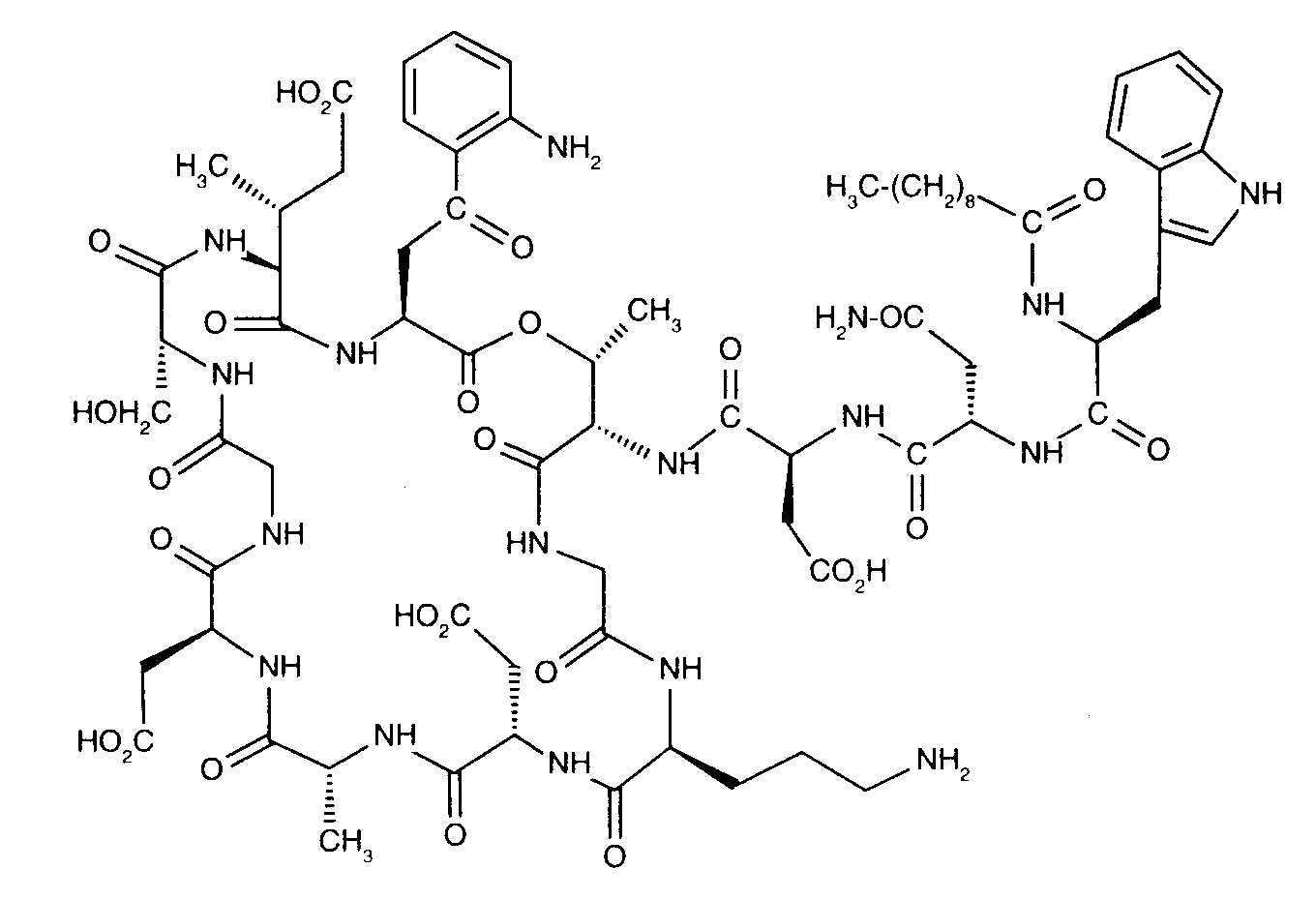
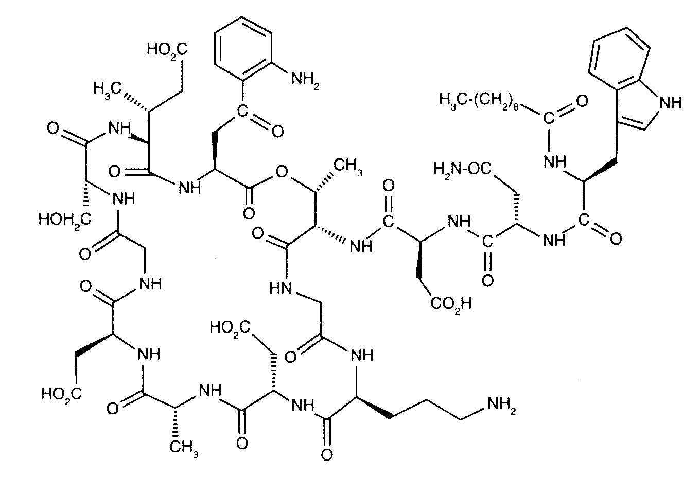
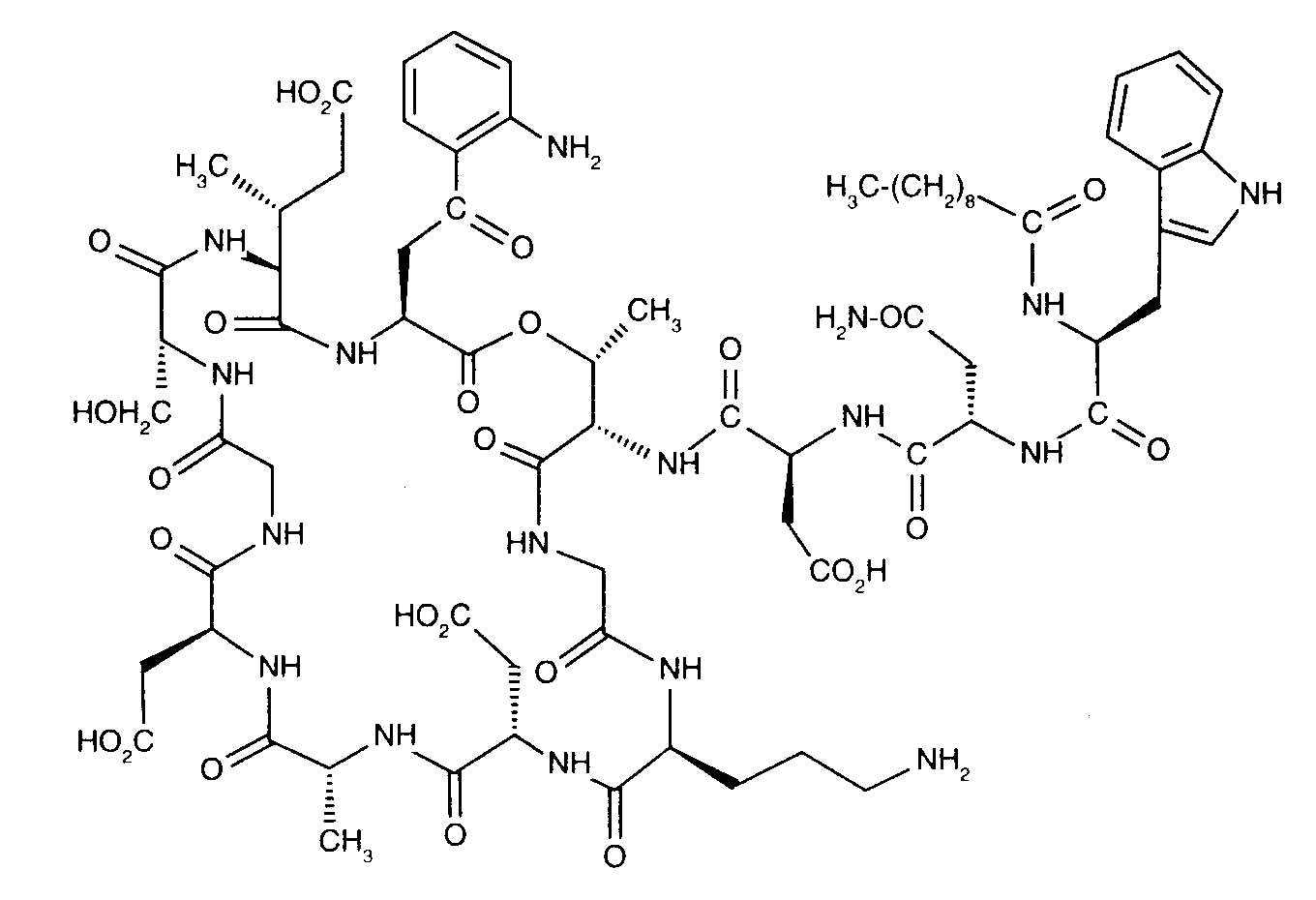
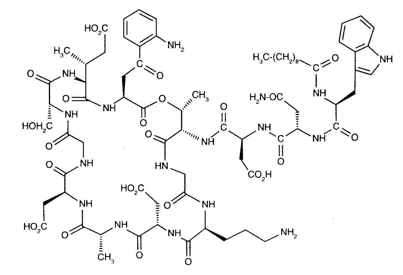
   Struttura chimica  

Nome commerciale   Nome commerciale     

Trade names are indicative and excipients composition can be different depending on the country and manufacturers

Cubicin Argentina, Australia, Austria, Canada, Chile, Colombia, Danimarca, Finlandia, Francia, Germania, Giappone, Gran Bretagna, Grecia, India, Irlanda, Islanda, Italia, Malaysia, Messico, Norvegia, nuova Zelanda, Paesi Bassi, Polonia, Portogallo, Romania, Spagna, Stati Uniti d’America, Svezia, Svizzera, Turchia, Ungheria, Venezuela
Daptomicina Argentina, Italia, Spagna
Daptomicine Finlandia, Germania, Gran Bretagna, Norvegia, Ungheria
Exfuno Brasile, Chile
Stenkivar Nigeria
Trisk Brasile
Compatibilità   Iniezione   Compatibilità : Daptomycin              
explication_incompatibilite_molecules
Molecola Solvente Bibliografia
Compatibile
Iniezione Daptomycin
Iniezione Aztreonam
2271
Precipitazioni immediate Incompatibile
Iniezione Daptomycin 6.1 mg/ml
Iniezione Blinatumomab 0.125 & 0.375 µg/ml
Cloruro di sodio 0,9% 3976
Incompatibilità non specificata Incompatibile
Iniezione Daptomycin
Glucosio 5% 2271
Instabilità chimica Incompatibile
Iniezione Daptomycin
Glucosio 5% 3439
Compatibile
Iniezione Daptomycin 16,7 mg/ml
Iniezione Aztreonam 16,7 mg/ml
Cloruro di sodio 0,9% 1937
Compatibile
Iniezione Daptomycin
Cloruro di sodio 0,9% 2271
Compatibile
Iniezione Daptomycin 10 mg/ml
Iniezione Caspofungin acetate 0,7 mg/ml
Cloruro di sodio 0,9% 2247
Incompatibilità non specificata Incompatibile
Iniezione Daptomycin
NaCl 0,45% Glucosio 2,5% 2271
Compatibile
Iniezione Daptomycin 21 mg/ml
Iniezione Cefepime dihydrochloride 83.3 mg/ml
Glucosio 5% 4254
Compatibile
Iniezione Daptomycin 21 mg/ml
Iniezione Cefepime dihydrochloride 83.3 mg/ml
Cloruro di sodio 0,9% 4254
Compatibile
Iniezione Daptomycin 20 mg/ml
Iniezione Cefiderocol sulfate tosylate 20 mg/mL
Glucosio 5% 4528
Compatibile
Iniezione Daptomycin 20 mg/ml
Iniezione Cefiderocol sulfate tosylate 20 mg/mL
Cloruro di sodio 0,9% 4528
Compatibile
Iniezione Daptomycin
Iniezione Ceftazidime
2271
Compatibile
Iniezione Daptomycin 16,7 mg/ml
Iniezione Ceftazidime 16,7 mg/ml
Cloruro di sodio 0,9% 1937
Compatibile
Iniezione Daptomycin 10 mg/ml
Iniezione Ceftolozane / tazobactam 10/5 mg/ml
Cloruro di sodio 0,9% 3828
Compatibile
Iniezione Daptomycin
Iniezione Ceftriaxone disodium
2271
Compatibile
Iniezione Daptomycin 16,7 mg/ml
Iniezione Ceftriaxone disodium 16,7 mg/ml
Cloruro di sodio 0,9% 1937
Compatibile
Iniezione Daptomycin 18,2 mg/ml
Iniezione Dopamine hydrochloride 3,6 mg/ml
Cloruro di sodio 0,9% 1937
Compatibile
Iniezione Daptomycin 6,3 mg/ml
Iniezione Fluconazole 1,3 mg/ml
Cloruro di sodio 0,9% 1937
Compatibile
Iniezione Daptomycin
Iniezione Fluconazole
2271
Compatibile
Iniezione Daptomycin 19,2 mg/ml
Iniezione Gentamicin sulfate 1,5 mg/ml
Cloruro di sodio 0,9% 1937
Compatibile
Iniezione Daptomycin
Iniezione Gentamicin sulfate
2271
Incompatibilità non specificata Incompatibile
Iniezione Daptomycin
NaCl 0,45% Glucosio 5% 2271
Compatibile
Iniezione Daptomycin
Iniezione Dopamine hydrochloride
2271
Compatibile
Iniezione Daptomycin 10 mg/ml
Iniezione Doripenem 5 mg/ml
Glucosio 5% 2262
Compatibile
Iniezione Daptomycin 10 mg/ml
Iniezione Doripenem 5 mg/ml
Cloruro di sodio 0,9% 2262
Torbidità immediata Incompatibile
Iniezione Daptomycin 20 mg/ml
Iniezione Fosfomycin 30 mg/ml
Cloruro di sodio 0,9% 4055
Compatibile
Iniezione Daptomycin 19,6 mg/ml
Iniezione Heparin sodium 98 UI/ml
Cloruro di sodio 0,9% 1937
Compatibile
Iniezione Daptomycin
Iniezione Heparin sodium
2271
Compatibile
Iniezione Daptomycin 10 mg/ml
Iniezione Isavuconazonium sulfate 1.5 mg/ml
Cloruro di sodio 0,9% 3829
Compatibile
Iniezione Daptomycin 14,3 mg/ml
Iniezione Levofloxacine 7,1 mg/ml
Cloruro di sodio 0,9% 1937
Compatibile
Iniezione Daptomycin
Iniezione Levofloxacine
2271
Compatibile
Iniezione Daptomycin 16,7 mg/ml
Iniezione Lidocaine hydrochloride 3,3 mg/ml
Cloruro di sodio 0,9% 1937
Compatibile
Iniezione Daptomycin
Iniezione Lidocaine hydrochloride
2271
Torbidità immediata Incompatibile
Iniezione Daptomycin 20 mg/ml
Iniezione Plazomicin sulfate 24 mg/ml
Cloruro di sodio 0,9% 4145
Compatibile
Iniezione Daptomycin
Iniezione Posaconazole
4380
Compatibile
Iniezione Daptomycin 5 mg/ml
Iniezione Sodium bicarbonate 40 mg/ml
Nessuno 3122
Torbidità in un'ora Incompatibile
Iniezione Daptomycin 20 mg/ml
Iniezione Sulbactam/durlobactam 15/15 mg/ml
Cloruro di sodio 0,9% 4801
Compatibile
Iniezione Daptomycin 10 mg/ml
Iniezione Tedizolid phosphate 0.8 mg/ml
Cloruro di sodio 0,9% 3827
Compatibile
Iniezione Daptomycin 21 mg/ml
Iniezione Thiamine hydrochloride 0.2 mg/ml
Cloruro di sodio 0,9% 4254
Instabilità chimica Incompatibile
Iniezione Daptomycin
Glucosio 10% 3439

  Mentions Légales