Letztes “update” :
18/03/2026
Antibiotikum   Daptomycin  
Injektion
Stabilität der Lösung Gemengestabilität Stabilitätbeeinflussende Faktoren Kompatibilitäten Applikationsart Literaturverzeichnis pdf
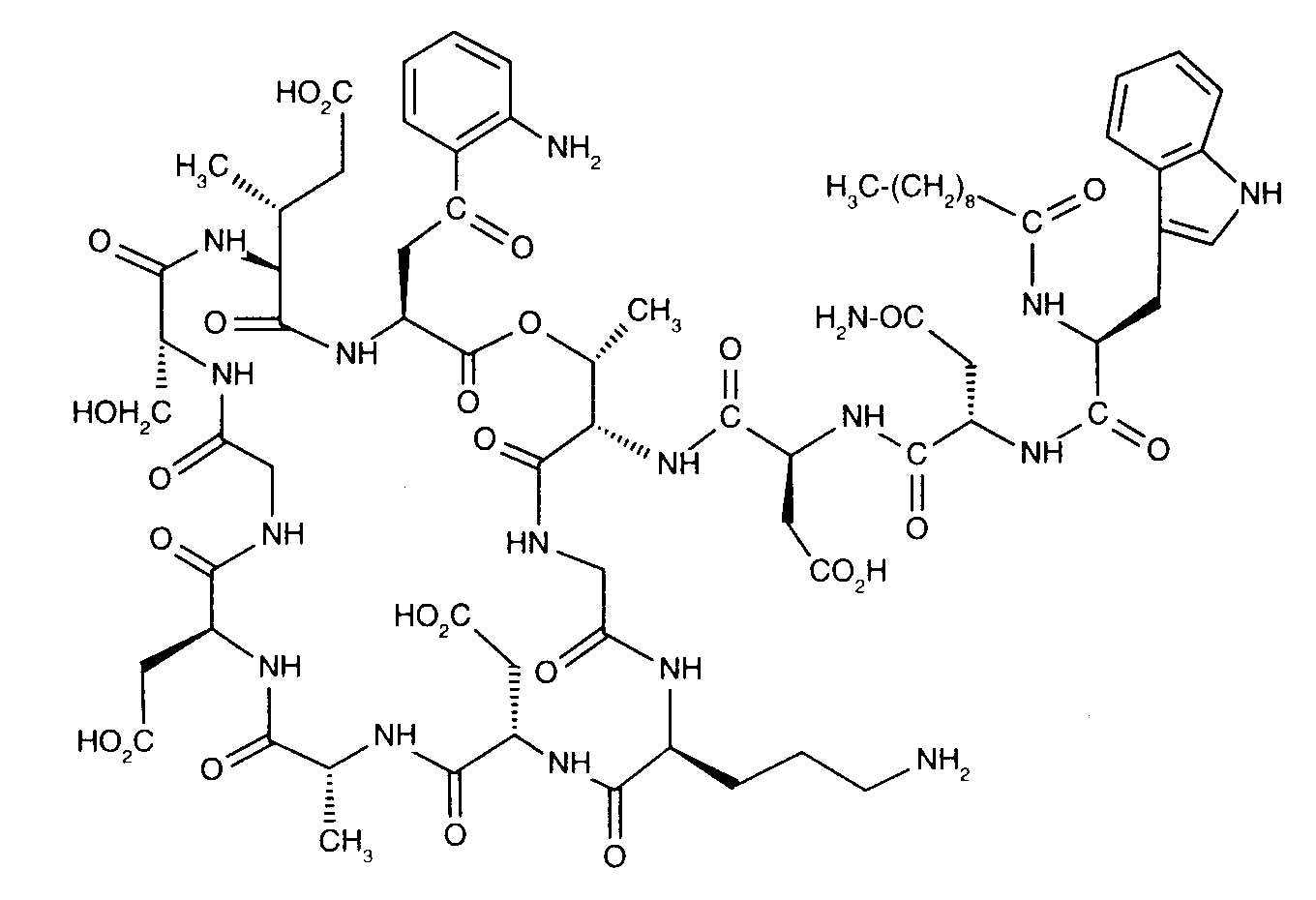
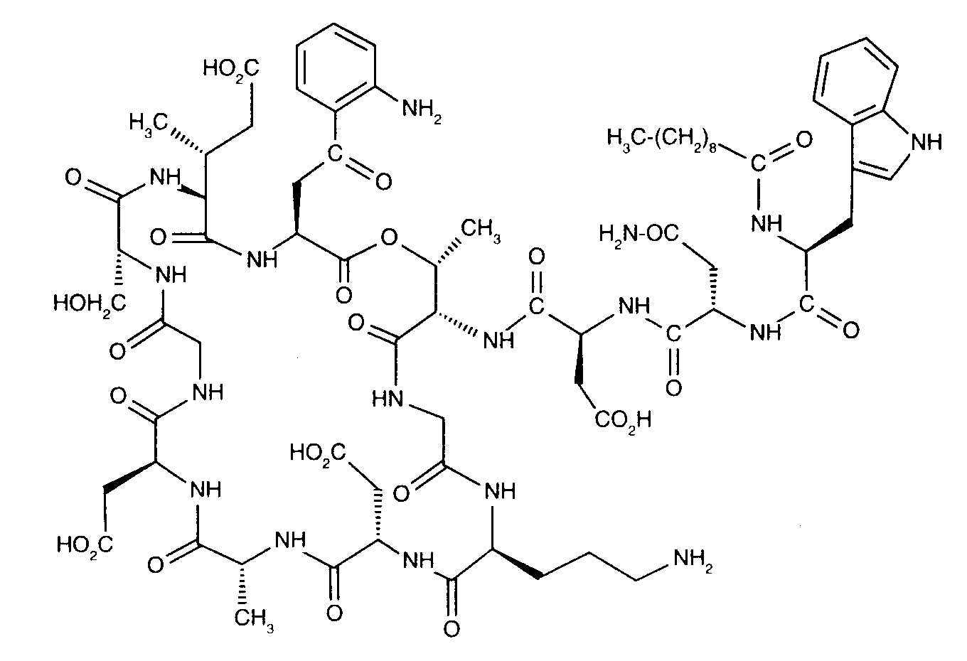
   Chemische Struktur  

Handelsmarke   Handelsmarke     

Handelsnamen sind als beispielhaft anzusehen. Sonstige Bestandteile können je nach Hersteller oder Land verschieden sein

Cubicin Argentinien, Australien, Chile, Dänemark, Deutschland, Finnland, Frankreich, Griechenland, Großbritannien, Indien, Irland, Island, Italien, Japan, Kanada, Kolumbien, Malaysia, Mexiko, Neuseeland, Niederlande, Norwegen, Österreich, Polen, Portugal, Rumänien, Schweden, Schweiz, Spanien, Türkei, Ungarn, Venezuela, Vereinigte Staaten von Amerika
Daptomicina Argentinien, Italien, Spanien
Daptomicine Deutschland, Finnland, Großbritannien, Norwegen, Ungarn
Exfuno Brasilien, Chile
Stenkivar Nigeria
Trisk Brasilien
Kompatibilitäten   Injektion   Kompatibilitäten : Daptomycin              
Dieser Bildschirm zeigt die Kompatibilitäten oder Inkompatibilitäten mit der Art der Inkompatibilität (hier: Ausfällung, Farbänderung, Modifikation einer Emulsion usw.) an. Die hier gezeigten Kompatibilitäten sind meist nur physikalisch, wobei die chemische Stabilität jedes Moleküls selten bewertet wird. Die Bewertung dieser Gemische wurde untersucht, um die Möglichkeit einer Verabreichung über eine Y-Verbindung zu berücksichtigen. Diese Daten können daher nicht zur Herstellung von Mischungen im Voraus in Beuteln oder Spritzen verwendet werden. Sie finden diese Informationen auf dem Bildschirm "Stabilität in Mischung».
Molekül Lösungsmittel Literaturverzeichnis
kompatibel
Injektion Daptomycin
Injektion Aztreonam
2271
Sofortiger Niederschlag nicht kompatibel
Injektion Daptomycin 6.1 mg/ml
Injektion Blinatumomab 0.125 & 0.375 µg/ml
0,9% Natriumchlorid 3976
Nicht spezifizierte Inkompatibilität nicht kompatibel
Injektion Daptomycin
5% Glucose 2271
Chemische Instabilität nicht kompatibel
Injektion Daptomycin
5% Glucose 3439
kompatibel
Injektion Daptomycin 16,7 mg/ml
Injektion Aztreonam 16,7 mg/ml
0,9% Natriumchlorid 1937
kompatibel
Injektion Daptomycin
0,9% Natriumchlorid 2271
kompatibel
Injektion Daptomycin 10 mg/ml
Injektion Caspofungin acetate 0,7 mg/ml
0,9% Natriumchlorid 2247
Nicht spezifizierte Inkompatibilität nicht kompatibel
Injektion Daptomycin
NaCl 0,45% Glucose 2,5% 2271
kompatibel
Injektion Daptomycin 21 mg/ml
Injektion Cefepime dihydrochloride 83.3 mg/ml
5% Glucose 4254
kompatibel
Injektion Daptomycin 21 mg/ml
Injektion Cefepime dihydrochloride 83.3 mg/ml
0,9% Natriumchlorid 4254
kompatibel
Injektion Daptomycin 20 mg/ml
Injektion Cefiderocol sulfate tosylate 20 mg/mL
5% Glucose 4528
kompatibel
Injektion Daptomycin 20 mg/ml
Injektion Cefiderocol sulfate tosylate 20 mg/mL
0,9% Natriumchlorid 4528
kompatibel
Injektion Daptomycin
Injektion Ceftazidime
2271
kompatibel
Injektion Daptomycin 16,7 mg/ml
Injektion Ceftazidime 16,7 mg/ml
0,9% Natriumchlorid 1937
kompatibel
Injektion Daptomycin 10 mg/ml
Injektion Ceftolozane / tazobactam 10/5 mg/ml
0,9% Natriumchlorid 3828
kompatibel
Injektion Daptomycin
Injektion Ceftriaxone disodium
2271
kompatibel
Injektion Daptomycin 16,7 mg/ml
Injektion Ceftriaxone disodium 16,7 mg/ml
0,9% Natriumchlorid 1937
kompatibel
Injektion Daptomycin 18,2 mg/ml
Injektion Dopamine hydrochloride 3,6 mg/ml
0,9% Natriumchlorid 1937
kompatibel
Injektion Daptomycin 6,3 mg/ml
Injektion Fluconazole 1,3 mg/ml
0,9% Natriumchlorid 1937
kompatibel
Injektion Daptomycin
Injektion Fluconazole
2271
kompatibel
Injektion Daptomycin 19,2 mg/ml
Injektion Gentamicin sulfate 1,5 mg/ml
0,9% Natriumchlorid 1937
kompatibel
Injektion Daptomycin
Injektion Gentamicin sulfate
2271
Nicht spezifizierte Inkompatibilität nicht kompatibel
Injektion Daptomycin
0,45 NaCl  5% Glucose 2271
kompatibel
Injektion Daptomycin
Injektion Dopamine hydrochloride
2271
kompatibel
Injektion Daptomycin 10 mg/ml
Injektion Doripenem 5 mg/ml
5% Glucose 2262
kompatibel
Injektion Daptomycin 10 mg/ml
Injektion Doripenem 5 mg/ml
0,9% Natriumchlorid 2262
Sofortige Trübung nicht kompatibel
Injektion Daptomycin 20 mg/ml
Injektion Fosfomycin 30 mg/ml
0,9% Natriumchlorid 4055
kompatibel
Injektion Daptomycin 19,6 mg/ml
Injektion Heparin sodium 98 UI/ml
0,9% Natriumchlorid 1937
kompatibel
Injektion Daptomycin
Injektion Heparin sodium
2271
kompatibel
Injektion Daptomycin 10 mg/ml
Injektion Isavuconazonium sulfate 1.5 mg/ml
0,9% Natriumchlorid 3829
kompatibel
Injektion Daptomycin 14,3 mg/ml
Injektion Levofloxacine 7,1 mg/ml
0,9% Natriumchlorid 1937
kompatibel
Injektion Daptomycin
Injektion Levofloxacine
2271
kompatibel
Injektion Daptomycin 16,7 mg/ml
Injektion Lidocaine hydrochloride 3,3 mg/ml
0,9% Natriumchlorid 1937
kompatibel
Injektion Daptomycin
Injektion Lidocaine hydrochloride
2271
Sofortige Trübung nicht kompatibel
Injektion Daptomycin 20 mg/ml
Injektion Plazomicin sulfate 24 mg/ml
0,9% Natriumchlorid 4145
kompatibel
Injektion Daptomycin
Injektion Posaconazole
4380
kompatibel
Injektion Daptomycin 5 mg/ml
Injektion Sodium bicarbonate 40 mg/ml
Kein 3122
Trübung in einer Stunde nicht kompatibel
Injektion Daptomycin 20 mg/ml
Injektion Sulbactam/durlobactam 15/15 mg/ml
0,9% Natriumchlorid 4801
kompatibel
Injektion Daptomycin 10 mg/ml
Injektion Tedizolid phosphate 0.8 mg/ml
0,9% Natriumchlorid 3827
kompatibel
Injektion Daptomycin 21 mg/ml
Injektion Thiamine hydrochloride 0.2 mg/ml
0,9% Natriumchlorid 4254
Chemische Instabilität nicht kompatibel
Injektion Daptomycin
10% Glucose 3439

  Mentions Légales