Pēdējā atjaunošana :
18/03/2026
Antibiotika   Daptomycin  
Injekcija
Šķīduma stabilitāte Maisījuma stabilitāte Stabilitāti ietekmējoši faktori Saderība Levadīšanas veids Literatūras saraksts pdf
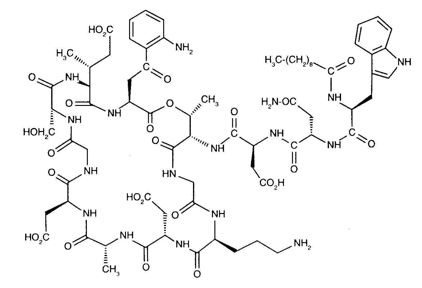
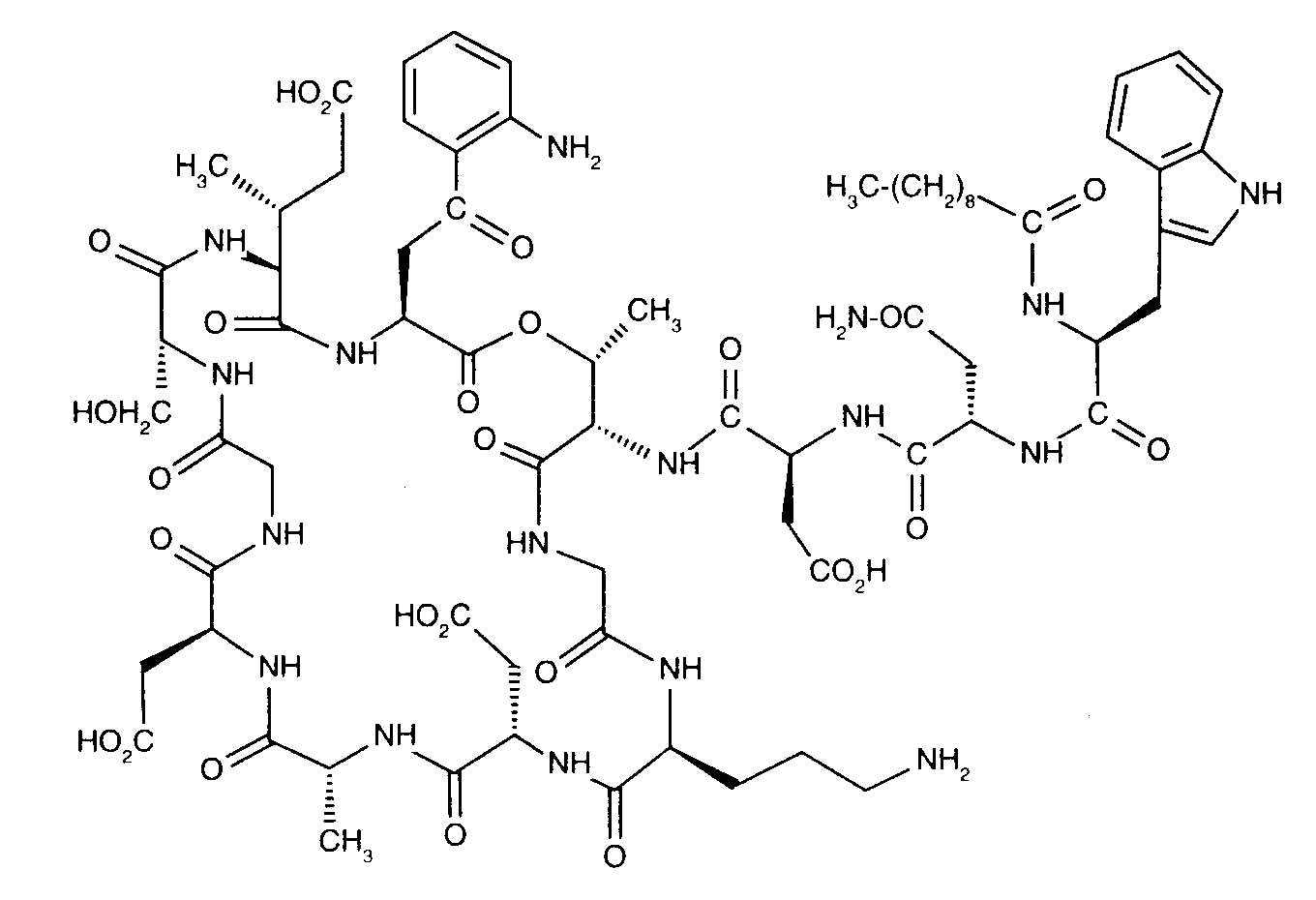
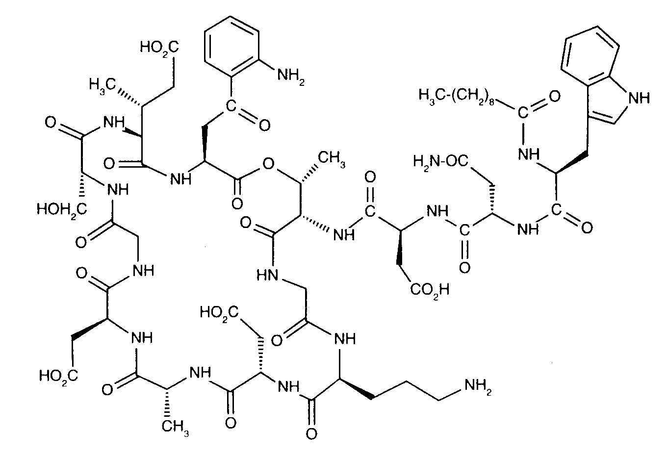
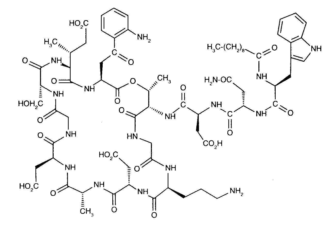
   Ķīmiskā uzbūve   

Oriģinālais nosaukums   Oriģinālais nosaukums     

Tirdzniecības nosaukumi ir apzīmējoši un palīgvielas var atšķirties dažādām valstīm un laboratorijām

Cubicin Amerikas Savienotās Valstis, Argentīna, Austrālija, Austrija, Čīle, Dānija, Francija, Grieķija, Holande, Indija, Īrija, Islande, Itālija, Japāna, Jaunzēlande, Kanāda, Kolumbija, Lielbritānija, Malaizija, Meksika, Norvēģija, Polija, Portugāle, Rumānija, Somija, Spānija, Šveice, Turcija, Ungārija, Vācija, Venecuēla, Zviedrija
Daptomicina Argentīna, Itālija, Spānija
Daptomicine Lielbritānija, Norvēģija, Somija, Ungārija, Vācija
Exfuno Brazīlija, Čīle
Stenkivar Nigērija
Trisk Brazīlija
Saderība   Injekcija   Saderība : Daptomycin              
Šī tabula parāda zāļu saderību vai nesaderību, pēc iespējas arī nesaderības tipu (precipitācija, krāsas maiņa, emulsijas sadalīšanās utt). Parādītas šeit saderības ir pārsvarā tikai fizikālās, pēc iespējas tiek parādīta ķīmiskā stabilitāte katrai molekulai. Šo maisījumu analīze tikai veikta, lai izprastu iespējamību ievadīt zāles Y-savienojuma vietā sistēmā pacientam. Šie dati nevar tikt izmantoti, lai pagatavot zāļu maisījumus vēlākai lietošanai maisos vai šļircēs. Šī informācija ir pieejama sadaļā "Maisījuma stabilitāte".
Savienojums Šķīdinātājs Literatūras saraksts
Savietojams
Injekcija Daptomycin
Injekcija Aztreonam
2271
Tūlītēji nokrišņi Nesavienojams
Injekcija Daptomycin 6.1 mg/ml
Injekcija Blinatumomab 0.125 & 0.375 µg/ml
Nātrija hlorīds 0.9% 3976
Neprecizēta nesaderība Nesavienojams
Injekcija Daptomycin
5% glikoze 2271
Ķīmiskā nestabilitāte Nesavienojams
Injekcija Daptomycin
5% glikoze 3439
Savietojams
Injekcija Daptomycin 16,7 mg/ml
Injekcija Aztreonam 16,7 mg/ml
Nātrija hlorīds 0.9% 1937
Savietojams
Injekcija Daptomycin
Nātrija hlorīds 0.9% 2271
Savietojams
Injekcija Daptomycin 10 mg/ml
Injekcija Caspofungin acetate 0,7 mg/ml
Nātrija hlorīds 0.9% 2247
Neprecizēta nesaderība Nesavienojams
Injekcija Daptomycin
NaCl 0,45% glikoze 2,5% 2271
Savietojams
Injekcija Daptomycin 21 mg/ml
Injekcija Cefepime dihydrochloride 83.3 mg/ml
5% glikoze 4254
Savietojams
Injekcija Daptomycin 21 mg/ml
Injekcija Cefepime dihydrochloride 83.3 mg/ml
Nātrija hlorīds 0.9% 4254
Savietojams
Injekcija Daptomycin 20 mg/ml
Injekcija Cefiderocol sulfate tosylate 20 mg/mL
5% glikoze 4528
Savietojams
Injekcija Daptomycin 20 mg/ml
Injekcija Cefiderocol sulfate tosylate 20 mg/mL
Nātrija hlorīds 0.9% 4528
Savietojams
Injekcija Daptomycin
Injekcija Ceftazidime
2271
Savietojams
Injekcija Daptomycin 16,7 mg/ml
Injekcija Ceftazidime 16,7 mg/ml
Nātrija hlorīds 0.9% 1937
Savietojams
Injekcija Daptomycin 10 mg/ml
Injekcija Ceftolozane / tazobactam 10/5 mg/ml
Nātrija hlorīds 0.9% 3828
Savietojams
Injekcija Daptomycin
Injekcija Ceftriaxone disodium
2271
Savietojams
Injekcija Daptomycin 16,7 mg/ml
Injekcija Ceftriaxone disodium 16,7 mg/ml
Nātrija hlorīds 0.9% 1937
Savietojams
Injekcija Daptomycin 18,2 mg/ml
Injekcija Dopamine hydrochloride 3,6 mg/ml
Nātrija hlorīds 0.9% 1937
Savietojams
Injekcija Daptomycin 6,3 mg/ml
Injekcija Fluconazole 1,3 mg/ml
Nātrija hlorīds 0.9% 1937
Savietojams
Injekcija Daptomycin
Injekcija Fluconazole
2271
Savietojams
Injekcija Daptomycin 19,2 mg/ml
Injekcija Gentamicin sulfate 1,5 mg/ml
Nātrija hlorīds 0.9% 1937
Savietojams
Injekcija Daptomycin
Injekcija Gentamicin sulfate
2271
Neprecizēta nesaderība Nesavienojams
Injekcija Daptomycin
0.45% NaCl 5% glikoze 2271
Savietojams
Injekcija Daptomycin
Injekcija Dopamine hydrochloride
2271
Savietojams
Injekcija Daptomycin 10 mg/ml
Injekcija Doripenem 5 mg/ml
5% glikoze 2262
Savietojams
Injekcija Daptomycin 10 mg/ml
Injekcija Doripenem 5 mg/ml
Nātrija hlorīds 0.9% 2262
Tūlītēja duļķainība Nesavienojams
Injekcija Daptomycin 20 mg/ml
Injekcija Fosfomycin 30 mg/ml
Nātrija hlorīds 0.9% 4055
Savietojams
Injekcija Daptomycin 19,6 mg/ml
Injekcija Heparin sodium 98 UI/ml
Nātrija hlorīds 0.9% 1937
Savietojams
Injekcija Daptomycin
Injekcija Heparin sodium
2271
Savietojams
Injekcija Daptomycin 10 mg/ml
Injekcija Isavuconazonium sulfate 1.5 mg/ml
Nātrija hlorīds 0.9% 3829
Savietojams
Injekcija Daptomycin 14,3 mg/ml
Injekcija Levofloxacine 7,1 mg/ml
Nātrija hlorīds 0.9% 1937
Savietojams
Injekcija Daptomycin
Injekcija Levofloxacine
2271
Savietojams
Injekcija Daptomycin 16,7 mg/ml
Injekcija Lidocaine hydrochloride 3,3 mg/ml
Nātrija hlorīds 0.9% 1937
Savietojams
Injekcija Daptomycin
Injekcija Lidocaine hydrochloride
2271
Tūlītēja duļķainība Nesavienojams
Injekcija Daptomycin 20 mg/ml
Injekcija Plazomicin sulfate 24 mg/ml
Nātrija hlorīds 0.9% 4145
Savietojams
Injekcija Daptomycin
Injekcija Posaconazole
4380
Savietojams
Injekcija Daptomycin 5 mg/ml
Injekcija Sodium bicarbonate 40 mg/ml
Nekāds 3122
Duļķainums vienā stundā Nesavienojams
Injekcija Daptomycin 20 mg/ml
Injekcija Sulbactam/durlobactam 15/15 mg/ml
Nātrija hlorīds 0.9% 4801
Savietojams
Injekcija Daptomycin 10 mg/ml
Injekcija Tedizolid phosphate 0.8 mg/ml
Nātrija hlorīds 0.9% 3827
Savietojams
Injekcija Daptomycin 21 mg/ml
Injekcija Thiamine hydrochloride 0.2 mg/ml
Nātrija hlorīds 0.9% 4254
Ķīmiskā nestabilitāte Nesavienojams
Injekcija Daptomycin
10% glikoze 3439

  Mentions Légales