Poslední aktualizace :
18/03/2026
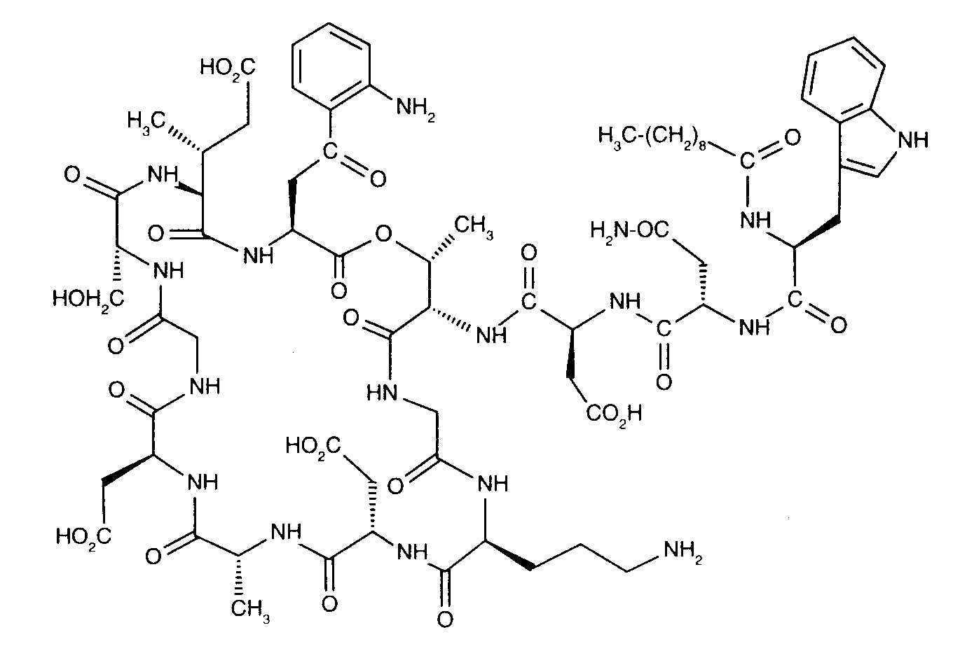
Antibiotikum   Daptomycin  
injekce
Stabilita roztoků Stabilita směsí Faktory ovlivňující stabilitu Kompatibilita Způsoby aplikace Odkazy pdf
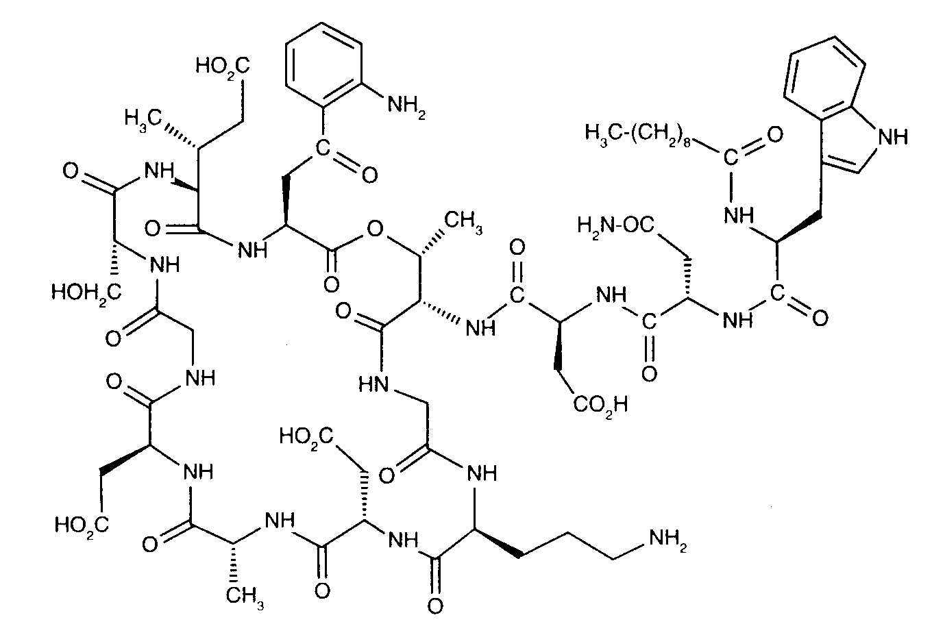
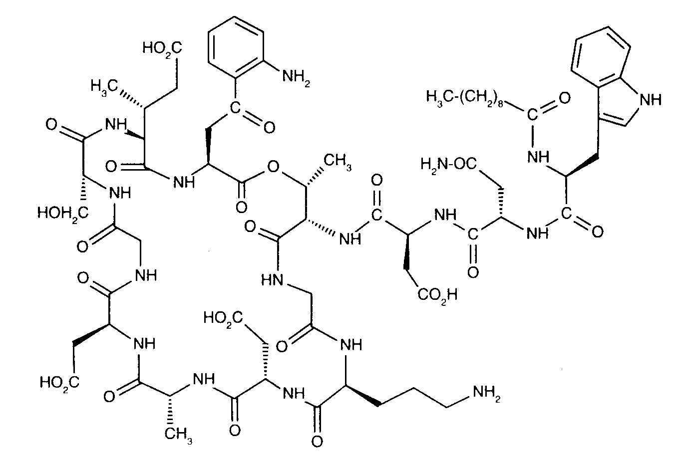
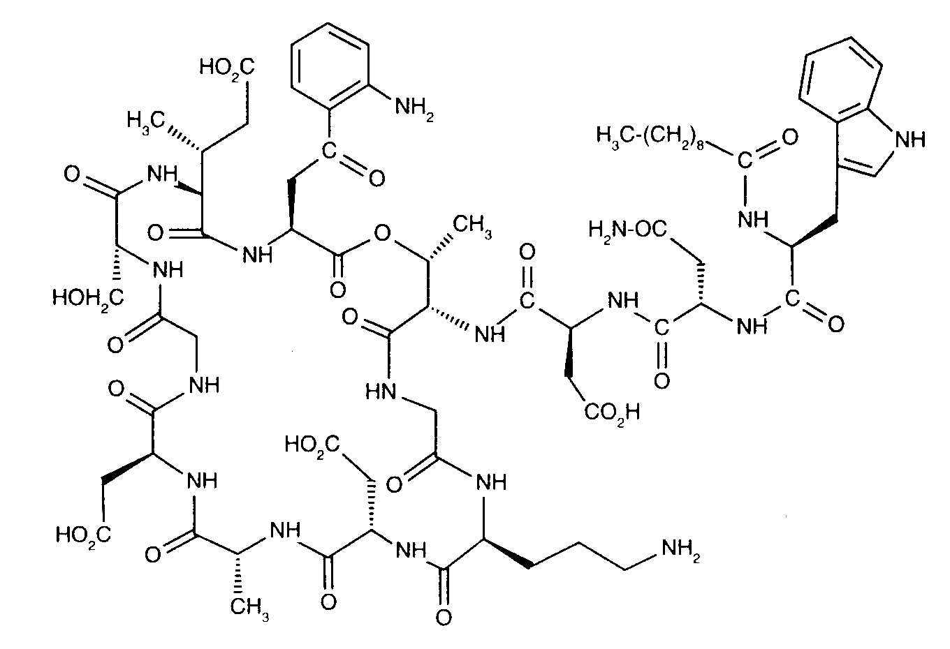
   Chemický vzorec  

Obchodní název   Obchodní název     

Trade names are indicative and excipients composition can be different depending on the country and manufacturers

Cubicin äpanÏlsko, Argentina, Austrálie, Chile, Dánsko, Finsko, Francie, Indie, Irsko, Island, Itálie, Japonsko, Kanada, Kolumbie, Malajsie, MaÔarsko, Mexiko, NÏmecko, Nizozemsko, Norsko, nový Zéland, Polsko, Portugalsko, Rakousko, Rumunsko, Švédsko, Švýcarsko, Turecko, USA, Velká Británie, Venezuela, ÿecko
Daptomicina äpanÏlsko, Argentina, Itálie
Daptomicine Finsko, MaÔarsko, NÏmecko, Norsko, Velká Británie
Exfuno BrazÌlie, Chile
Stenkivar Nigérie
Trisk BrazÌlie
Kompatibilita   injekce   Kompatibilita : Daptomycin              
Tato obrazovka ukazuje kompatibilitu nebo nekompatibilitu s, v tomto případě, typem nekompatibility (srážení, změna barvy, modifikace emulze atd.). Zde uvedené kompatibility jsou většinou pouze fyzikální, přičemž chemická stabilita každé molekuly je zřídka hodnocena. Hodnocení těchto směsí bylo studováno, aby se zvážila možnost podání Y-místa pacientovi. Tyto údaje nelze použít k přípravě směsí předem v pytlích nebo stříkačkách. Tento typ informací je k dispozici na obrazovce „Stabilita ve směsi“.
SlouËenina RozpouötÏdlo Odkazy
Kompatibilní
injekce Daptomycin
injekce Aztreonam
2271
Okamžité srážení Nekompatibilní
injekce Daptomycin 6.1 mg/ml
injekce Blinatumomab 0.125 & 0.375 µg/ml
Chlorid sodný 0,9% 3976
Nespecifikovaná nekompatibilita Nekompatibilní
injekce Daptomycin
GlukÛza 5% 2271
Chemická nestabilita Nekompatibilní
injekce Daptomycin
GlukÛza 5% 3439
Kompatibilní
injekce Daptomycin 16,7 mg/ml
injekce Aztreonam 16,7 mg/ml
Chlorid sodný 0,9% 1937
Kompatibilní
injekce Daptomycin
Chlorid sodný 0,9% 2271
Kompatibilní
injekce Daptomycin 10 mg/ml
injekce Caspofungin acetate 0,7 mg/ml
Chlorid sodný 0,9% 2247
Nespecifikovaná nekompatibilita Nekompatibilní
injekce Daptomycin
NaCl 0,45% GlukÛza 2,5% 2271
Kompatibilní
injekce Daptomycin 21 mg/ml
injekce Cefepime dihydrochloride 83.3 mg/ml
GlukÛza 5% 4254
Kompatibilní
injekce Daptomycin 21 mg/ml
injekce Cefepime dihydrochloride 83.3 mg/ml
Chlorid sodný 0,9% 4254
Kompatibilní
injekce Daptomycin 20 mg/ml
injekce Cefiderocol sulfate tosylate 20 mg/mL
GlukÛza 5% 4528
Kompatibilní
injekce Daptomycin 20 mg/ml
injekce Cefiderocol sulfate tosylate 20 mg/mL
Chlorid sodný 0,9% 4528
Kompatibilní
injekce Daptomycin
injekce Ceftazidime
2271
Kompatibilní
injekce Daptomycin 16,7 mg/ml
injekce Ceftazidime 16,7 mg/ml
Chlorid sodný 0,9% 1937
Kompatibilní
injekce Daptomycin 10 mg/ml
injekce Ceftolozane / tazobactam 10/5 mg/ml
Chlorid sodný 0,9% 3828
Kompatibilní
injekce Daptomycin
injekce Ceftriaxone disodium
2271
Kompatibilní
injekce Daptomycin 16,7 mg/ml
injekce Ceftriaxone disodium 16,7 mg/ml
Chlorid sodný 0,9% 1937
Kompatibilní
injekce Daptomycin 18,2 mg/ml
injekce Dopamine hydrochloride 3,6 mg/ml
Chlorid sodný 0,9% 1937
Kompatibilní
injekce Daptomycin 6,3 mg/ml
injekce Fluconazole 1,3 mg/ml
Chlorid sodný 0,9% 1937
Kompatibilní
injekce Daptomycin
injekce Fluconazole
2271
Kompatibilní
injekce Daptomycin 19,2 mg/ml
injekce Gentamicin sulfate 1,5 mg/ml
Chlorid sodný 0,9% 1937
Kompatibilní
injekce Daptomycin
injekce Gentamicin sulfate
2271
Nespecifikovaná nekompatibilita Nekompatibilní
injekce Daptomycin
NaCl 0,45% GlukÛza 5% 2271
Kompatibilní
injekce Daptomycin
injekce Dopamine hydrochloride
2271
Kompatibilní
injekce Daptomycin 10 mg/ml
injekce Doripenem 5 mg/ml
GlukÛza 5% 2262
Kompatibilní
injekce Daptomycin 10 mg/ml
injekce Doripenem 5 mg/ml
Chlorid sodný 0,9% 2262
Okamžitá zákal Nekompatibilní
injekce Daptomycin 20 mg/ml
injekce Fosfomycin 30 mg/ml
Chlorid sodný 0,9% 4055
Kompatibilní
injekce Daptomycin 19,6 mg/ml
injekce Heparin sodium 98 UI/ml
Chlorid sodný 0,9% 1937
Kompatibilní
injekce Daptomycin
injekce Heparin sodium
2271
Kompatibilní
injekce Daptomycin 10 mg/ml
injekce Isavuconazonium sulfate 1.5 mg/ml
Chlorid sodný 0,9% 3829
Kompatibilní
injekce Daptomycin 14,3 mg/ml
injekce Levofloxacine 7,1 mg/ml
Chlorid sodný 0,9% 1937
Kompatibilní
injekce Daptomycin
injekce Levofloxacine
2271
Kompatibilní
injekce Daptomycin 16,7 mg/ml
injekce Lidocaine hydrochloride 3,3 mg/ml
Chlorid sodný 0,9% 1937
Kompatibilní
injekce Daptomycin
injekce Lidocaine hydrochloride
2271
Okamžitá zákal Nekompatibilní
injekce Daptomycin 20 mg/ml
injekce Plazomicin sulfate 24 mg/ml
Chlorid sodný 0,9% 4145
Kompatibilní
injekce Daptomycin
injekce Posaconazole
4380
Kompatibilní
injekce Daptomycin 5 mg/ml
injekce Sodium bicarbonate 40 mg/ml
Žádné 3122
Zákal za hodinu Nekompatibilní
injekce Daptomycin 20 mg/ml
injekce Sulbactam/durlobactam 15/15 mg/ml
Chlorid sodný 0,9% 4801
Kompatibilní
injekce Daptomycin 10 mg/ml
injekce Tedizolid phosphate 0.8 mg/ml
Chlorid sodný 0,9% 3827
Kompatibilní
injekce Daptomycin 21 mg/ml
injekce Thiamine hydrochloride 0.2 mg/ml
Chlorid sodný 0,9% 4254
Chemická nestabilita Nekompatibilní
injekce Daptomycin
GlukÛza 10% 3439

  Mentions Légales