Senaste uppdateringen :
18/03/2026
Antibiotikum   Daptomycin  
injektion
Lösningars stabilitet Stabilitet i blandningar Faktorer som påverkar stabiliteten Kompatibilitet Administreringssätt Hänvisningar pdf
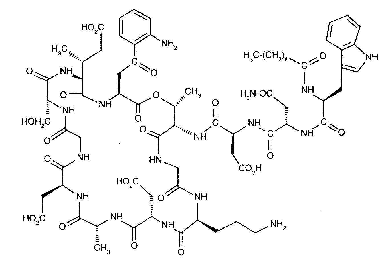
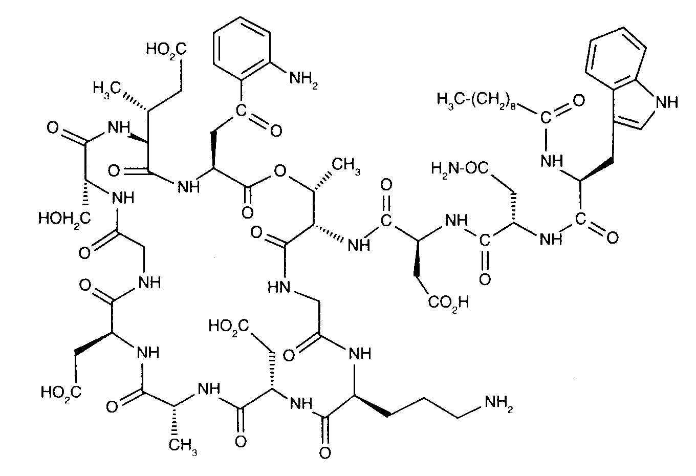
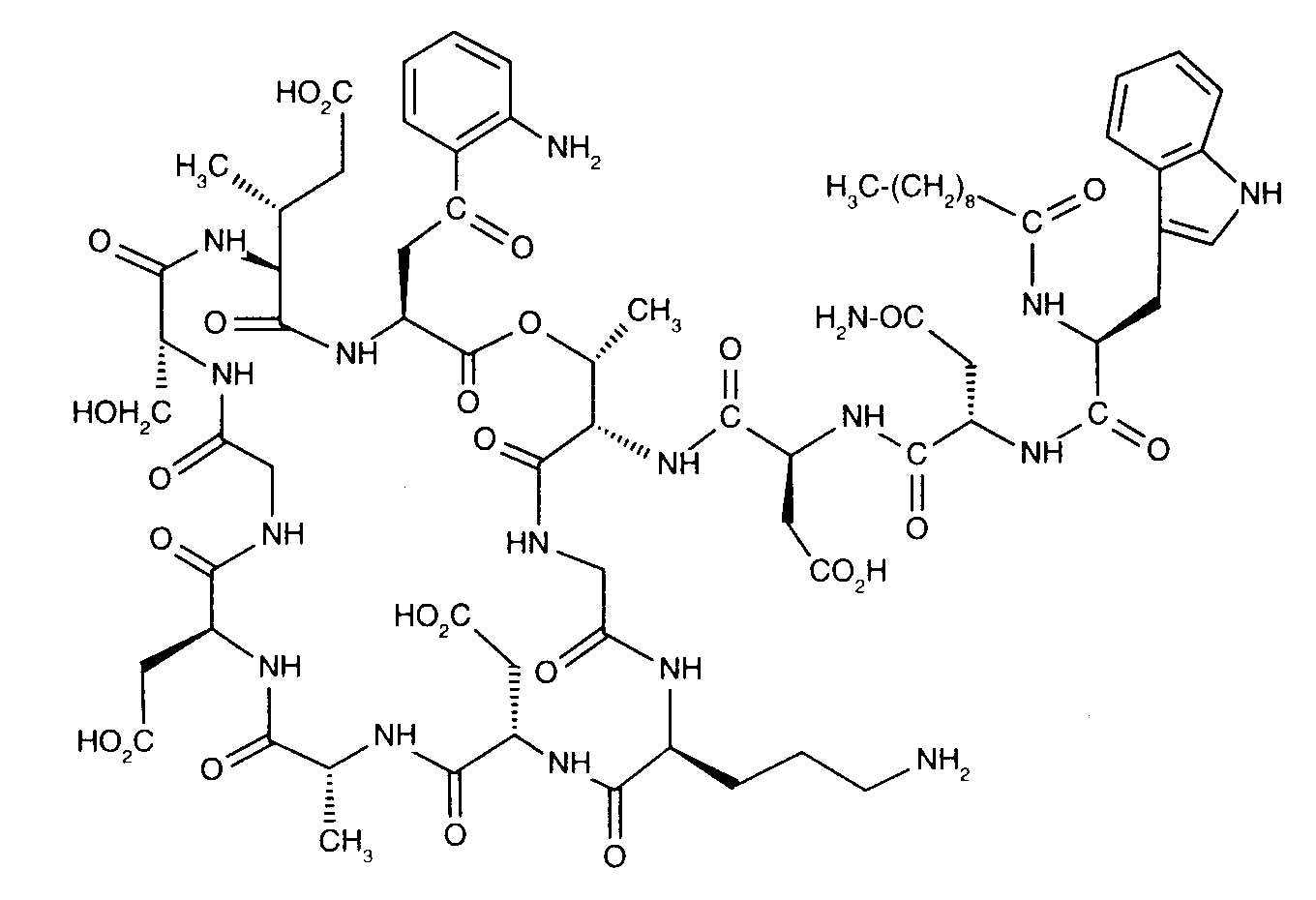
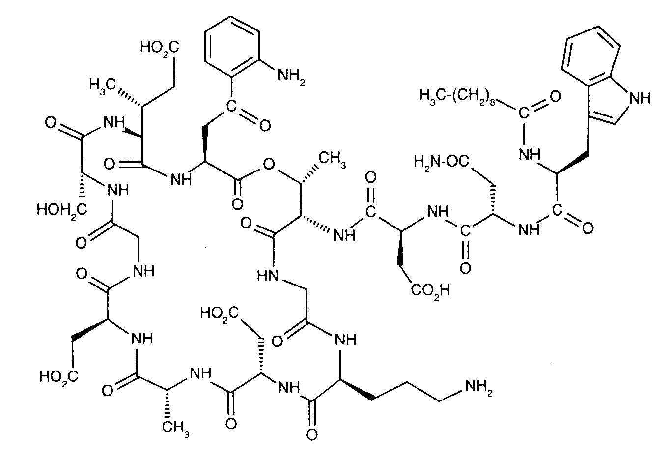
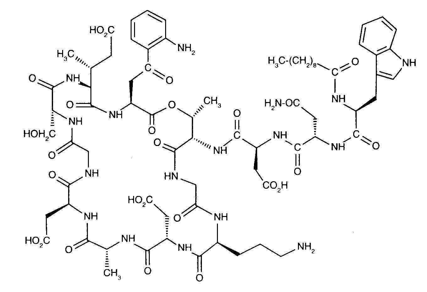
   Molekylstruktur  

Varunamn   Varunamn     

Angivna handelsnamn på läkemedel är enbart vägledande då formulering inklusive hjälpämnen kan variera mellan länder och tillverkare

Cubicin Argentina, Australien, Chile, Colombia, Danmark, Finland, Förenta Staterna, Frankrike, Grekland, Indien, Irland, Island, Italien, Japan, Kanada, Malaysia, Mexiko, Nederländerna, Norge, nya Zeeland, Österrike, Polen, Portugal, Rumänien, Schweiz, Spanien, Storbritannien, Sverige, Turkiet, Tyskland, Ungern, Venezuela
Daptomicina Argentina, Italien, Spanien
Daptomicine Finland, Norge, Storbritannien, Tyskland, Ungern
Exfuno Brasilien, Chile
Stenkivar Nigeria
Trisk Brasilien
Kompatibilitet   injektion   Kompatibilitet : Daptomycin              
Den här skärmen visar kompatibiliteten eller inkompatibiliteten med, i detta fall, typen av inkompatibilitet (utfällning, färgförändring, modifiering av en emulsion, etc.). De kompatibiliteter som visas här är oftast endast fysiska, varvid den kemiska stabiliteten för varje molekyl sällan utvärderas. Utvärderingen av dessa blandningar studerades för att överväga möjligheten för Y-platsadministrering till patienten. Dessa data kan inte användas för att göra blandningar i förväg i påsar eller sprutor. Denna typ av information finns på skärmen "Stabilitet i blandning".
Substans Lösningsmedel Hänvisningar
Kompatibel
injektion Daptomycin
injektion Aztreonam
2271
Omedelbar nederbörd Oförenlig
injektion Daptomycin 6.1 mg/ml
injektion Blinatumomab 0.125 & 0.375 µg/ml
Natriumklorid 0,9 % 3976
Ospecificerad inkompatibilitet Oförenlig
injektion Daptomycin
Glukos 5 % 2271
Kemisk instabilitet Oförenlig
injektion Daptomycin
Glukos 5 % 3439
Kompatibel
injektion Daptomycin 16,7 mg/ml
injektion Aztreonam 16,7 mg/ml
Natriumklorid 0,9 % 1937
Kompatibel
injektion Daptomycin
Natriumklorid 0,9 % 2271
Kompatibel
injektion Daptomycin 10 mg/ml
injektion Caspofungin acetate 0,7 mg/ml
Natriumklorid 0,9 % 2247
Ospecificerad inkompatibilitet Oförenlig
injektion Daptomycin
NaCl 0,45% Glukos 2,5% 2271
Kompatibel
injektion Daptomycin 21 mg/ml
injektion Cefepime dihydrochloride 83.3 mg/ml
Glukos 5 % 4254
Kompatibel
injektion Daptomycin 21 mg/ml
injektion Cefepime dihydrochloride 83.3 mg/ml
Natriumklorid 0,9 % 4254
Kompatibel
injektion Daptomycin 20 mg/ml
injektion Cefiderocol sulfate tosylate 20 mg/mL
Glukos 5 % 4528
Kompatibel
injektion Daptomycin 20 mg/ml
injektion Cefiderocol sulfate tosylate 20 mg/mL
Natriumklorid 0,9 % 4528
Kompatibel
injektion Daptomycin
injektion Ceftazidime
2271
Kompatibel
injektion Daptomycin 16,7 mg/ml
injektion Ceftazidime 16,7 mg/ml
Natriumklorid 0,9 % 1937
Kompatibel
injektion Daptomycin 10 mg/ml
injektion Ceftolozane / tazobactam 10/5 mg/ml
Natriumklorid 0,9 % 3828
Kompatibel
injektion Daptomycin
injektion Ceftriaxone disodium
2271
Kompatibel
injektion Daptomycin 16,7 mg/ml
injektion Ceftriaxone disodium 16,7 mg/ml
Natriumklorid 0,9 % 1937
Kompatibel
injektion Daptomycin 18,2 mg/ml
injektion Dopamine hydrochloride 3,6 mg/ml
Natriumklorid 0,9 % 1937
Kompatibel
injektion Daptomycin 6,3 mg/ml
injektion Fluconazole 1,3 mg/ml
Natriumklorid 0,9 % 1937
Kompatibel
injektion Daptomycin
injektion Fluconazole
2271
Kompatibel
injektion Daptomycin 19,2 mg/ml
injektion Gentamicin sulfate 1,5 mg/ml
Natriumklorid 0,9 % 1937
Kompatibel
injektion Daptomycin
injektion Gentamicin sulfate
2271
Ospecificerad inkompatibilitet Oförenlig
injektion Daptomycin
NaCl 0,45 % Glukos 5 % 2271
Kompatibel
injektion Daptomycin
injektion Dopamine hydrochloride
2271
Kompatibel
injektion Daptomycin 10 mg/ml
injektion Doripenem 5 mg/ml
Glukos 5 % 2262
Kompatibel
injektion Daptomycin 10 mg/ml
injektion Doripenem 5 mg/ml
Natriumklorid 0,9 % 2262
Omedelbar grumlighet Oförenlig
injektion Daptomycin 20 mg/ml
injektion Fosfomycin 30 mg/ml
Natriumklorid 0,9 % 4055
Kompatibel
injektion Daptomycin 19,6 mg/ml
injektion Heparin sodium 98 UI/ml
Natriumklorid 0,9 % 1937
Kompatibel
injektion Daptomycin
injektion Heparin sodium
2271
Kompatibel
injektion Daptomycin 10 mg/ml
injektion Isavuconazonium sulfate 1.5 mg/ml
Natriumklorid 0,9 % 3829
Kompatibel
injektion Daptomycin 14,3 mg/ml
injektion Levofloxacine 7,1 mg/ml
Natriumklorid 0,9 % 1937
Kompatibel
injektion Daptomycin
injektion Levofloxacine
2271
Kompatibel
injektion Daptomycin 16,7 mg/ml
injektion Lidocaine hydrochloride 3,3 mg/ml
Natriumklorid 0,9 % 1937
Kompatibel
injektion Daptomycin
injektion Lidocaine hydrochloride
2271
Omedelbar grumlighet Oförenlig
injektion Daptomycin 20 mg/ml
injektion Plazomicin sulfate 24 mg/ml
Natriumklorid 0,9 % 4145
Kompatibel
injektion Daptomycin
injektion Posaconazole
4380
Kompatibel
injektion Daptomycin 5 mg/ml
injektion Sodium bicarbonate 40 mg/ml
Ingen 3122
Grumlighet på en timme Oförenlig
injektion Daptomycin 20 mg/ml
injektion Sulbactam/durlobactam 15/15 mg/ml
Natriumklorid 0,9 % 4801
Kompatibel
injektion Daptomycin 10 mg/ml
injektion Tedizolid phosphate 0.8 mg/ml
Natriumklorid 0,9 % 3827
Kompatibel
injektion Daptomycin 21 mg/ml
injektion Thiamine hydrochloride 0.2 mg/ml
Natriumklorid 0,9 % 4254
Kemisk instabilitet Oförenlig
injektion Daptomycin
Glukos 10 % 3439

  Mentions Légales