Τελευταία ενημέρωση :
18/03/2026
Αντιβιοτικό   Daptomycin  
Ενέσιμο
Σταθερότητα διαλυμάτων Σταθερότητα σε μίγματα Παράγοντας που επηρεάζει τη σταθερότητα Συμβατότητες Τρόπος χορήγησης Βιβλιογραφία pdf
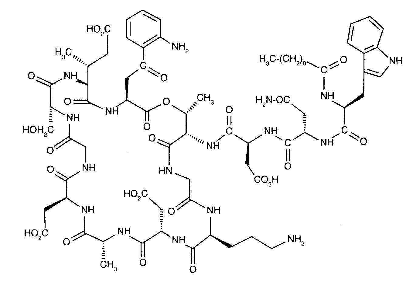
   χημική δομή  

Εμπορική ονομασία   Εμπορική ονομασία     

Οι εμπορικές ονομασίες είναι ενδεικτικές και η σύνθεση των εκδόχων μπορεί να διαφέρει ανάλογα με τη χώρα και τα εργαστήρια

Cubicin Αργεντινή, Αυστραλία, Αυστρία, Βενεζουέλα, Γαλλία, Γερμανία, Δανία, Ελβετία, Ελλάδα, Η.Π.Α., Ιαπωνία, Ινδία, Ιρλανδία, Ισλανδία, Ισπανία, Ιταλία, Καναδάς, Κολομβία, Μαλαισία, Μεγάλη Βρετανία, Μεξικό, νέα Ζηλανδία, Νορβηγία, Ολλανδία, Ουγγαρία, Πολωνία, Πορτογαλία, Ρουμανία, Σουηδία, Τουρκία, Φινλανδία, Χιλή
Daptomicina Αργεντινή, Ισπανία, Ιταλία
Daptomicine Γερμανία, Μεγάλη Βρετανία, Νορβηγία, Ουγγαρία, Φινλανδία
Exfuno Βραζιλία, Χιλή
Stenkivar Νιγηρία
Trisk Βραζιλία
Συμβατότητες    Ενέσιμο   Συμβατότητες : Daptomycin              
Σε αυτή την οθόνη εμφανίζονται οι συμβατότητες ή ασυμβατότητες. Σε αυτή την περίπτωση εμφανίζονται το είδος της ασυμβατότητας (ίζημα, αλλαγή χρώματος, μεταβολή γαλακτώματος, κλπ). Οι συμβατότητες που παρουσιάζονται εδώ είναι κυρίως φυσικές, ενώ η χημική σταθερότητα κάθε μορίου σπάνια περιλαμβάνεται. Η αξιολόγηση αυτών των μιγμάτων μελετήθηκε προκειμένου να εκτιμηθεί η πιθανότητα χορήγησης στον ασθενή στο Υ κέντρο. Τα δεδομένα αυτά δεν μπορούν να χρησιμοποιηθούν για την εκ των προτέρων δημιουργία μιγμάτων σε ασκούς ή σύριγγες. Αυτό το είδος πληροφορίας υπάρχει και μπορεί να αναζητηθεί στην οθόνη «Σταθερότητα σε μίγμα».
Συστατικό Διαλυτικό Βιβλιογραφία
Σύμφωνος
Ενέσιμο Daptomycin
Ενέσιμο Aztreonam
2271
Άμεση βροχόπτωση Ασύμβατες
Ενέσιμο Daptomycin 6.1 mg/ml
Ενέσιμο Blinatumomab 0.125 & 0.375 µg/ml
Χλωριούχο νάτριο 0,9% 3976
Απροσδιόριστη ασυμβατότητα Ασύμβατες
Ενέσιμο Daptomycin
Γλυκόζη 5% 2271
Χημική αστάθεια Ασύμβατες
Ενέσιμο Daptomycin
Γλυκόζη 5% 3439
Σύμφωνος
Ενέσιμο Daptomycin 16,7 mg/ml
Ενέσιμο Aztreonam 16,7 mg/ml
Χλωριούχο νάτριο 0,9% 1937
Σύμφωνος
Ενέσιμο Daptomycin
Χλωριούχο νάτριο 0,9% 2271
Σύμφωνος
Ενέσιμο Daptomycin 10 mg/ml
Ενέσιμο Caspofungin acetate 0,7 mg/ml
Χλωριούχο νάτριο 0,9% 2247
Απροσδιόριστη ασυμβατότητα Ασύμβατες
Ενέσιμο Daptomycin
NaCl 0,45% Γλυκόζη 2,5% 2271
Σύμφωνος
Ενέσιμο Daptomycin 21 mg/ml
Ενέσιμο Cefepime dihydrochloride 83.3 mg/ml
Γλυκόζη 5% 4254
Σύμφωνος
Ενέσιμο Daptomycin 21 mg/ml
Ενέσιμο Cefepime dihydrochloride 83.3 mg/ml
Χλωριούχο νάτριο 0,9% 4254
Σύμφωνος
Ενέσιμο Daptomycin 20 mg/ml
Ενέσιμο Cefiderocol sulfate tosylate 20 mg/mL
Γλυκόζη 5% 4528
Σύμφωνος
Ενέσιμο Daptomycin 20 mg/ml
Ενέσιμο Cefiderocol sulfate tosylate 20 mg/mL
Χλωριούχο νάτριο 0,9% 4528
Σύμφωνος
Ενέσιμο Daptomycin
Ενέσιμο Ceftazidime
2271
Σύμφωνος
Ενέσιμο Daptomycin 16,7 mg/ml
Ενέσιμο Ceftazidime 16,7 mg/ml
Χλωριούχο νάτριο 0,9% 1937
Σύμφωνος
Ενέσιμο Daptomycin 10 mg/ml
Ενέσιμο Ceftolozane / tazobactam 10/5 mg/ml
Χλωριούχο νάτριο 0,9% 3828
Σύμφωνος
Ενέσιμο Daptomycin
Ενέσιμο Ceftriaxone disodium
2271
Σύμφωνος
Ενέσιμο Daptomycin 16,7 mg/ml
Ενέσιμο Ceftriaxone disodium 16,7 mg/ml
Χλωριούχο νάτριο 0,9% 1937
Σύμφωνος
Ενέσιμο Daptomycin 18,2 mg/ml
Ενέσιμο Dopamine hydrochloride 3,6 mg/ml
Χλωριούχο νάτριο 0,9% 1937
Σύμφωνος
Ενέσιμο Daptomycin 6,3 mg/ml
Ενέσιμο Fluconazole 1,3 mg/ml
Χλωριούχο νάτριο 0,9% 1937
Σύμφωνος
Ενέσιμο Daptomycin
Ενέσιμο Fluconazole
2271
Σύμφωνος
Ενέσιμο Daptomycin 19,2 mg/ml
Ενέσιμο Gentamicin sulfate 1,5 mg/ml
Χλωριούχο νάτριο 0,9% 1937
Σύμφωνος
Ενέσιμο Daptomycin
Ενέσιμο Gentamicin sulfate
2271
Απροσδιόριστη ασυμβατότητα Ασύμβατες
Ενέσιμο Daptomycin
NaCl 0,45% Γλυκόζη 5% 2271
Σύμφωνος
Ενέσιμο Daptomycin
Ενέσιμο Dopamine hydrochloride
2271
Σύμφωνος
Ενέσιμο Daptomycin 10 mg/ml
Ενέσιμο Doripenem 5 mg/ml
Γλυκόζη 5% 2262
Σύμφωνος
Ενέσιμο Daptomycin 10 mg/ml
Ενέσιμο Doripenem 5 mg/ml
Χλωριούχο νάτριο 0,9% 2262
Άμεση θολότητα Ασύμβατες
Ενέσιμο Daptomycin 20 mg/ml
Ενέσιμο Fosfomycin 30 mg/ml
Χλωριούχο νάτριο 0,9% 4055
Σύμφωνος
Ενέσιμο Daptomycin 19,6 mg/ml
Ενέσιμο Heparin sodium 98 UI/ml
Χλωριούχο νάτριο 0,9% 1937
Σύμφωνος
Ενέσιμο Daptomycin
Ενέσιμο Heparin sodium
2271
Σύμφωνος
Ενέσιμο Daptomycin 10 mg/ml
Ενέσιμο Isavuconazonium sulfate 1.5 mg/ml
Χλωριούχο νάτριο 0,9% 3829
Σύμφωνος
Ενέσιμο Daptomycin 14,3 mg/ml
Ενέσιμο Levofloxacine 7,1 mg/ml
Χλωριούχο νάτριο 0,9% 1937
Σύμφωνος
Ενέσιμο Daptomycin
Ενέσιμο Levofloxacine
2271
Σύμφωνος
Ενέσιμο Daptomycin 16,7 mg/ml
Ενέσιμο Lidocaine hydrochloride 3,3 mg/ml
Χλωριούχο νάτριο 0,9% 1937
Σύμφωνος
Ενέσιμο Daptomycin
Ενέσιμο Lidocaine hydrochloride
2271
Άμεση θολότητα Ασύμβατες
Ενέσιμο Daptomycin 20 mg/ml
Ενέσιμο Plazomicin sulfate 24 mg/ml
Χλωριούχο νάτριο 0,9% 4145
Σύμφωνος
Ενέσιμο Daptomycin
Ενέσιμο Posaconazole
4380
Σύμφωνος
Ενέσιμο Daptomycin 5 mg/ml
Ενέσιμο Sodium bicarbonate 40 mg/ml
Ουδέν 3122
Мътност за един час Ασύμβατες
Ενέσιμο Daptomycin 20 mg/ml
Ενέσιμο Sulbactam/durlobactam 15/15 mg/ml
Χλωριούχο νάτριο 0,9% 4801
Σύμφωνος
Ενέσιμο Daptomycin 10 mg/ml
Ενέσιμο Tedizolid phosphate 0.8 mg/ml
Χλωριούχο νάτριο 0,9% 3827
Σύμφωνος
Ενέσιμο Daptomycin 21 mg/ml
Ενέσιμο Thiamine hydrochloride 0.2 mg/ml
Χλωριούχο νάτριο 0,9% 4254
Χημική αστάθεια Ασύμβατες
Ενέσιμο Daptomycin
Γλυκόζη 10% 3439

  Mentions Légales