Posledná aktualizácia :
18/03/2026
antibiotikum   Daptomycin  
Injekcia
Stabilita roztokov Stabilita v zmesiach Faktory ovplyvňujúce stabilitu Kompatibility spôsob podania Odkazy na literatúru PDF
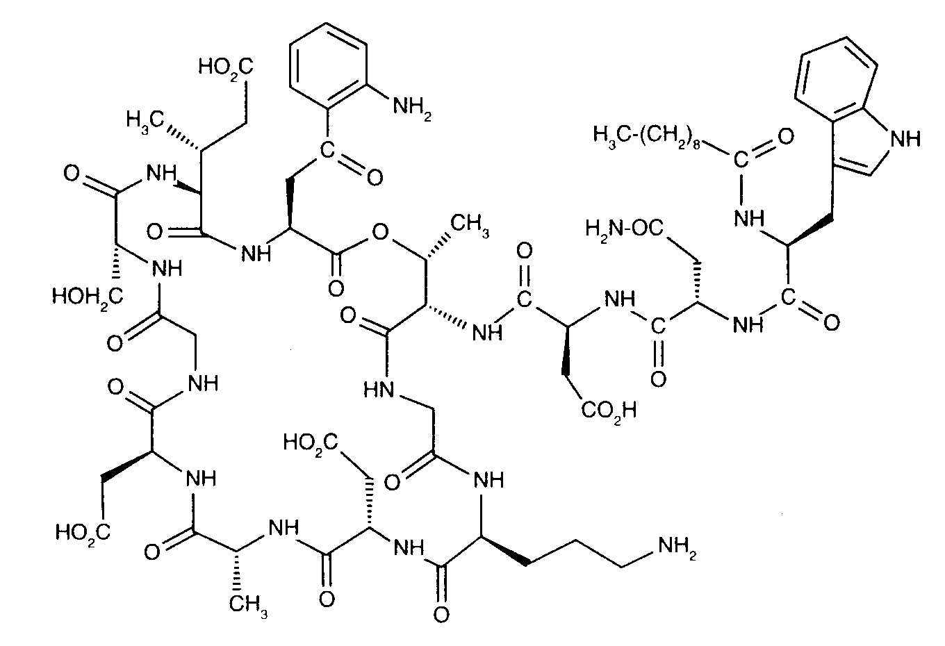
   Chemický vzorec  

Obchodný názov   Obchodný názov     

Obchodné názvy sú orientačné, a zloženie pomocných látok sa môže líšiť v závislosti od krajiny a výrobcu.

Cubicin Argentína, Austrália, Čile, Dánsko, Fínsko, Francúzsko, Grécko, Holandsko, India, Írsko, Island, Japonsko, Kanada, Kolumbia, Maďarsko, Malajzia, Mexiko, Nemecko, Nórsko, nový Zéland, Poľsko, Portugalsko, Rakúsko, Rumunsko, Španielsko, Spojené štáty Americké, Švajčiarsko, Švédsko, Taliansko, Turecko, Veľká Británia, Venezuela
Daptomicina Argentína, Španielsko, Taliansko
Daptomicine Fínsko, Maďarsko, Nemecko, Nórsko, Veľká Británia
Exfuno Brazília, Čile
Stenkivar Nigéria
Trisk Brazília
Kompatibility   Injekcia   Kompatibility : Daptomycin              
Toto okno zobrazuje kompatibility alebo inkombatibility, v prípade inkompatibility aj jej typ (vyzrážanie, zmena farby, zmena emulzie atď.). Tu vymenované kompatibility sú väčšinou len fyzikálne, chemická stabilita každej zo zlúčenín sa hodnotila len zriedkavo. Tieto zmesi sa skúmali za účelom možnosti súbežného podávania pacientovi cez infúznu spojku Y. Údaje sa nedajú použiť na prípravu zmesí vo vakoch alebo striekačkách. Taká informácia sa nachádza v okne „Stabilita v zmesiach“.
Zlúčenina rozpúšťadlo odkazy na lieteratúru
kompatibilný
Injekcia Daptomycin
Injekcia Aztreonam
2271
Okamžité zrážanie nezlučiteľný
Injekcia Daptomycin 6.1 mg/ml
Injekcia Blinatumomab 0.125 & 0.375 µg/ml
0,9% chlorid sodný 3976
Nešpecifikovaná nekompatibilita nezlučiteľný
Injekcia Daptomycin
5% glukóza 2271
Chemická nestabilita nezlučiteľný
Injekcia Daptomycin
5% glukóza 3439
kompatibilný
Injekcia Daptomycin 16,7 mg/ml
Injekcia Aztreonam 16,7 mg/ml
0,9% chlorid sodný 1937
kompatibilný
Injekcia Daptomycin
0,9% chlorid sodný 2271
kompatibilný
Injekcia Daptomycin 10 mg/ml
Injekcia Caspofungin acetate 0,7 mg/ml
0,9% chlorid sodný 2247
Nešpecifikovaná nekompatibilita nezlučiteľný
Injekcia Daptomycin
NaCl 0,45% glukóza 2,5% 2271
kompatibilný
Injekcia Daptomycin 21 mg/ml
Injekcia Cefepime dihydrochloride 83.3 mg/ml
5% glukóza 4254
kompatibilný
Injekcia Daptomycin 21 mg/ml
Injekcia Cefepime dihydrochloride 83.3 mg/ml
0,9% chlorid sodný 4254
kompatibilný
Injekcia Daptomycin 20 mg/ml
Injekcia Cefiderocol sulfate tosylate 20 mg/mL
5% glukóza 4528
kompatibilný
Injekcia Daptomycin 20 mg/ml
Injekcia Cefiderocol sulfate tosylate 20 mg/mL
0,9% chlorid sodný 4528
kompatibilný
Injekcia Daptomycin
Injekcia Ceftazidime
2271
kompatibilný
Injekcia Daptomycin 16,7 mg/ml
Injekcia Ceftazidime 16,7 mg/ml
0,9% chlorid sodný 1937
kompatibilný
Injekcia Daptomycin 10 mg/ml
Injekcia Ceftolozane / tazobactam 10/5 mg/ml
0,9% chlorid sodný 3828
kompatibilný
Injekcia Daptomycin
Injekcia Ceftriaxone disodium
2271
kompatibilný
Injekcia Daptomycin 16,7 mg/ml
Injekcia Ceftriaxone disodium 16,7 mg/ml
0,9% chlorid sodný 1937
kompatibilný
Injekcia Daptomycin 18,2 mg/ml
Injekcia Dopamine hydrochloride 3,6 mg/ml
0,9% chlorid sodný 1937
kompatibilný
Injekcia Daptomycin 6,3 mg/ml
Injekcia Fluconazole 1,3 mg/ml
0,9% chlorid sodný 1937
kompatibilný
Injekcia Daptomycin
Injekcia Fluconazole
2271
kompatibilný
Injekcia Daptomycin 19,2 mg/ml
Injekcia Gentamicin sulfate 1,5 mg/ml
0,9% chlorid sodný 1937
kompatibilný
Injekcia Daptomycin
Injekcia Gentamicin sulfate
2271
Nešpecifikovaná nekompatibilita nezlučiteľný
Injekcia Daptomycin
0,45% chlorid sodný (a) 5% glukóza 2271
kompatibilný
Injekcia Daptomycin
Injekcia Dopamine hydrochloride
2271
kompatibilný
Injekcia Daptomycin 10 mg/ml
Injekcia Doripenem 5 mg/ml
5% glukóza 2262
kompatibilný
Injekcia Daptomycin 10 mg/ml
Injekcia Doripenem 5 mg/ml
0,9% chlorid sodný 2262
Okamžitá zákal nezlučiteľný
Injekcia Daptomycin 20 mg/ml
Injekcia Fosfomycin 30 mg/ml
0,9% chlorid sodný 4055
kompatibilný
Injekcia Daptomycin 19,6 mg/ml
Injekcia Heparin sodium 98 UI/ml
0,9% chlorid sodný 1937
kompatibilný
Injekcia Daptomycin
Injekcia Heparin sodium
2271
kompatibilný
Injekcia Daptomycin 10 mg/ml
Injekcia Isavuconazonium sulfate 1.5 mg/ml
0,9% chlorid sodný 3829
kompatibilný
Injekcia Daptomycin 14,3 mg/ml
Injekcia Levofloxacine 7,1 mg/ml
0,9% chlorid sodný 1937
kompatibilný
Injekcia Daptomycin
Injekcia Levofloxacine
2271
kompatibilný
Injekcia Daptomycin 16,7 mg/ml
Injekcia Lidocaine hydrochloride 3,3 mg/ml
0,9% chlorid sodný 1937
kompatibilný
Injekcia Daptomycin
Injekcia Lidocaine hydrochloride
2271
Okamžitá zákal nezlučiteľný
Injekcia Daptomycin 20 mg/ml
Injekcia Plazomicin sulfate 24 mg/ml
0,9% chlorid sodný 4145
kompatibilný
Injekcia Daptomycin
Injekcia Posaconazole
4380
kompatibilný
Injekcia Daptomycin 5 mg/ml
Injekcia Sodium bicarbonate 40 mg/ml
Žiadny 3122
Zákal za jednu hodinu nezlučiteľný
Injekcia Daptomycin 20 mg/ml
Injekcia Sulbactam/durlobactam 15/15 mg/ml
0,9% chlorid sodný 4801
kompatibilný
Injekcia Daptomycin 10 mg/ml
Injekcia Tedizolid phosphate 0.8 mg/ml
0,9% chlorid sodný 3827
kompatibilný
Injekcia Daptomycin 21 mg/ml
Injekcia Thiamine hydrochloride 0.2 mg/ml
0,9% chlorid sodný 4254
Chemická nestabilita nezlučiteľný
Injekcia Daptomycin
10% glukóza 3439

  Mentions Légales