zadnja posodobitev :
18/03/2026
Antibiotik   Daptomycin  
Brizgalka
Stabilnost raztopine Stabilnost mešanice Faktorji, ki vplivajo na stabilnost Kompatibilnost način aplikacije Viri pdf
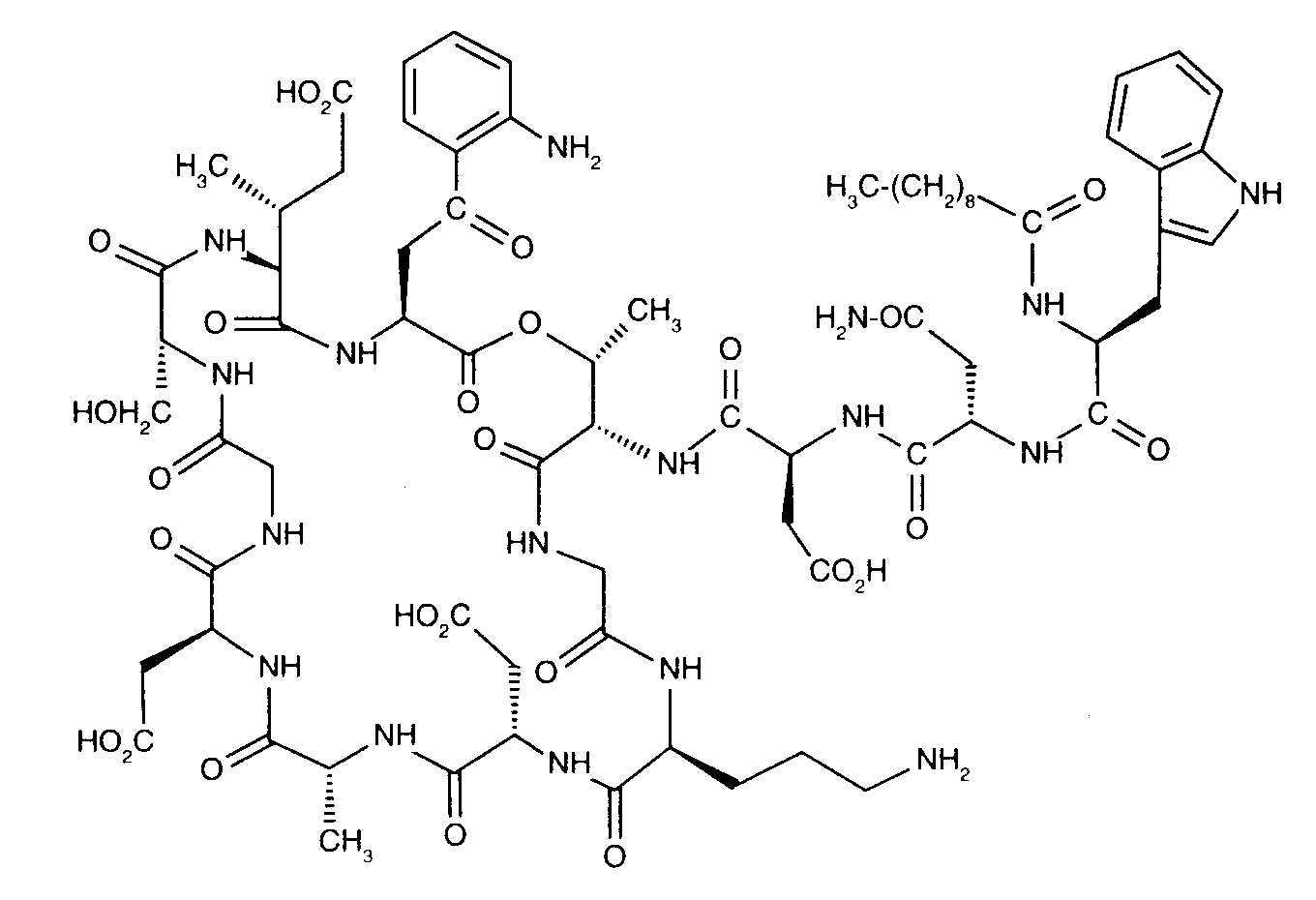
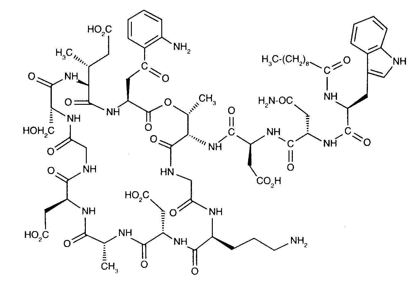
   Kemična formula  

Lastniško ime   Lastniško ime     

Sestava pomožnih snovi je med paralelami lahko različna

Cubicin Argentina, Avstralija, Avstrija, Čile, Danska, Finska, Francija, Grčija, Indija, Irska, Islandija, Italija, Japonska, Kanada, Kolumbija, Madžarska, Malezija, Mehika, Nemčija, Nizozemska, Norveška, nova Zelandija, Poljska, Portugalska, Romunija, Španija, Švedska, Švica, Turčija, Velika Britanija, Venezuela, Združene države Amerike
Daptomicina Argentina, Italija, Španija
Daptomicine Finska, Madžarska, Nemčija, Norveška, Velika Britanija
Exfuno Brazilija, Čile
Stenkivar Nigerija
Trisk Brazilija
Kompatibilnost   Brizgalka   Kompatibilnost : Daptomycin              
Ta zaslon prikazuje združljivost ali nezdružljivost s, v tem primeru, vrsto nezdružljivosti (padavine, sprememba barve, sprememba emulzije itd.). Tu prikazane združljivosti so večinoma samo fizične, pri čemer se kemijska stabilnost vsake molekule redko ocenjuje. Vrednotenje teh zmesi so preučevali, da bi preučili možnost pacientovega dajanja na mestu Y. Teh podatkov ni mogoče uporabiti za pripravo mešanic v vrečkah ali brizgah. Ta vrsta informacij je na voljo na zaslonu "Obstojnost v mešanici".
Sestava Topilo Viri
Združljivo
Brizgalka Daptomycin
Brizgalka Aztreonam
2271
Takoj padavine Nezdružljivo
Brizgalka Daptomycin 6.1 mg/ml
Brizgalka Blinatumomab 0.125 & 0.375 µg/ml
Natrijev klorid 0,9% 3976
Nedoločena nezdružljivost Nezdružljivo
Brizgalka Daptomycin
Glukoza 5% 2271
Kemijska nestabilnost Nezdružljivo
Brizgalka Daptomycin
Glukoza 5% 3439
Združljivo
Brizgalka Daptomycin 16,7 mg/ml
Brizgalka Aztreonam 16,7 mg/ml
Natrijev klorid 0,9% 1937
Združljivo
Brizgalka Daptomycin
Natrijev klorid 0,9% 2271
Združljivo
Brizgalka Daptomycin 10 mg/ml
Brizgalka Caspofungin acetate 0,7 mg/ml
Natrijev klorid 0,9% 2247
Nedoločena nezdružljivost Nezdružljivo
Brizgalka Daptomycin
NaCl 0,45% Glukoza 2,5% 2271
Združljivo
Brizgalka Daptomycin 21 mg/ml
Brizgalka Cefepime dihydrochloride 83.3 mg/ml
Glukoza 5% 4254
Združljivo
Brizgalka Daptomycin 21 mg/ml
Brizgalka Cefepime dihydrochloride 83.3 mg/ml
Natrijev klorid 0,9% 4254
Združljivo
Brizgalka Daptomycin 20 mg/ml
Brizgalka Cefiderocol sulfate tosylate 20 mg/mL
Glukoza 5% 4528
Združljivo
Brizgalka Daptomycin 20 mg/ml
Brizgalka Cefiderocol sulfate tosylate 20 mg/mL
Natrijev klorid 0,9% 4528
Združljivo
Brizgalka Daptomycin
Brizgalka Ceftazidime
2271
Združljivo
Brizgalka Daptomycin 16,7 mg/ml
Brizgalka Ceftazidime 16,7 mg/ml
Natrijev klorid 0,9% 1937
Združljivo
Brizgalka Daptomycin 10 mg/ml
Brizgalka Ceftolozane / tazobactam 10/5 mg/ml
Natrijev klorid 0,9% 3828
Združljivo
Brizgalka Daptomycin
Brizgalka Ceftriaxone disodium
2271
Združljivo
Brizgalka Daptomycin 16,7 mg/ml
Brizgalka Ceftriaxone disodium 16,7 mg/ml
Natrijev klorid 0,9% 1937
Združljivo
Brizgalka Daptomycin 18,2 mg/ml
Brizgalka Dopamine hydrochloride 3,6 mg/ml
Natrijev klorid 0,9% 1937
Združljivo
Brizgalka Daptomycin 6,3 mg/ml
Brizgalka Fluconazole 1,3 mg/ml
Natrijev klorid 0,9% 1937
Združljivo
Brizgalka Daptomycin
Brizgalka Fluconazole
2271
Združljivo
Brizgalka Daptomycin 19,2 mg/ml
Brizgalka Gentamicin sulfate 1,5 mg/ml
Natrijev klorid 0,9% 1937
Združljivo
Brizgalka Daptomycin
Brizgalka Gentamicin sulfate
2271
Nedoločena nezdružljivost Nezdružljivo
Brizgalka Daptomycin
NaCl 0,45% Glukoza 5% 2271
Združljivo
Brizgalka Daptomycin
Brizgalka Dopamine hydrochloride
2271
Združljivo
Brizgalka Daptomycin 10 mg/ml
Brizgalka Doripenem 5 mg/ml
Glukoza 5% 2262
Združljivo
Brizgalka Daptomycin 10 mg/ml
Brizgalka Doripenem 5 mg/ml
Natrijev klorid 0,9% 2262
Takojšnja motnost Nezdružljivo
Brizgalka Daptomycin 20 mg/ml
Brizgalka Fosfomycin 30 mg/ml
Natrijev klorid 0,9% 4055
Združljivo
Brizgalka Daptomycin 19,6 mg/ml
Brizgalka Heparin sodium 98 UI/ml
Natrijev klorid 0,9% 1937
Združljivo
Brizgalka Daptomycin
Brizgalka Heparin sodium
2271
Združljivo
Brizgalka Daptomycin 10 mg/ml
Brizgalka Isavuconazonium sulfate 1.5 mg/ml
Natrijev klorid 0,9% 3829
Združljivo
Brizgalka Daptomycin 14,3 mg/ml
Brizgalka Levofloxacine 7,1 mg/ml
Natrijev klorid 0,9% 1937
Združljivo
Brizgalka Daptomycin
Brizgalka Levofloxacine
2271
Združljivo
Brizgalka Daptomycin 16,7 mg/ml
Brizgalka Lidocaine hydrochloride 3,3 mg/ml
Natrijev klorid 0,9% 1937
Združljivo
Brizgalka Daptomycin
Brizgalka Lidocaine hydrochloride
2271
Takojšnja motnost Nezdružljivo
Brizgalka Daptomycin 20 mg/ml
Brizgalka Plazomicin sulfate 24 mg/ml
Natrijev klorid 0,9% 4145
Združljivo
Brizgalka Daptomycin
Brizgalka Posaconazole
4380
Združljivo
Brizgalka Daptomycin 5 mg/ml
Brizgalka Sodium bicarbonate 40 mg/ml
Nobeden 3122
Motnost v eni uri Nezdružljivo
Brizgalka Daptomycin 20 mg/ml
Brizgalka Sulbactam/durlobactam 15/15 mg/ml
Natrijev klorid 0,9% 4801
Združljivo
Brizgalka Daptomycin 10 mg/ml
Brizgalka Tedizolid phosphate 0.8 mg/ml
Natrijev klorid 0,9% 3827
Združljivo
Brizgalka Daptomycin 21 mg/ml
Brizgalka Thiamine hydrochloride 0.2 mg/ml
Natrijev klorid 0,9% 4254
Kemijska nestabilnost Nezdružljivo
Brizgalka Daptomycin
Glucoza 10% 3439

  Mentions Légales