Senaste uppdateringen :
27/01/2026
Antibiotikum   Tobramycin sulfate  
injektion
Aerosol ögondroppar Oral lösning
Lösningars stabilitet Stabilitet i blandningar Faktorer som påverkar stabiliteten Kompatibilitet Administreringssätt Hänvisningar pdf
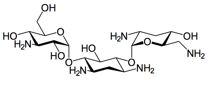
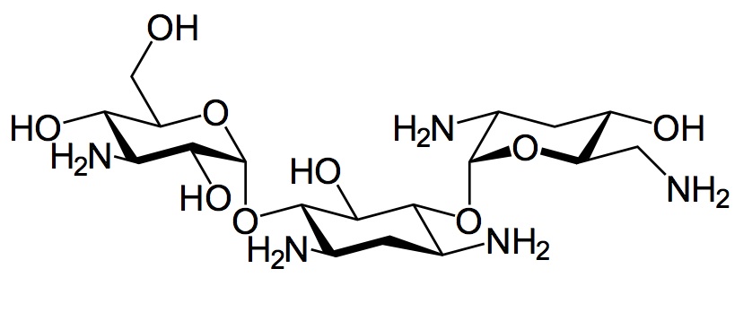
   Molekylstruktur  

Varunamn   Varunamn     

Angivna handelsnamn på läkemedel är enbart vägledande då formulering inklusive hjälpämnen kan variera mellan länder och tillverkare

Bactob Indien
Beltob Indien
Bramicil Italien
Brulamycin Malaysia, Slovenien, Ungern
Eltol Indien
Fytobra Indien
Gernebcin Tyskland
Komitob Indien
Nebcin Egypten, Förenade Arabemiraten, Grekland, nya Zeeland, Saudi-Arabien, Storbritannien
Nebcina Danmark, Marocko, Norge, Sverige
Nebcine Frankrike, Marocko, Slovenien
Nebicina Italien
Obracin Belgien, Luxemburg, Nederländerna, Schweiz
Tobracin Brasilien, Egypten, Saudi-Arabien
Tobramicina Argentina, Brasilien, Chile, Colombia, Ecuador, Italien, Portugal, Spanien
Tobramina Brasilien
Tobramycin Australien, Förenta Staterna, Irland, Kanada, Norge, Saudi-Arabien, Storbritannien, Tyskland
Tobramycine Frankrike, Irland, Nederländerna
Tobrasix Österrike
Tobrazid Tyskland
Lösningars stabilitet   injektion   Lösningars stabilitet : Tobramycin sulfate     
Behållare Lösningsmedel Koncentration Temperatur Förvaring Stabilitets varaktighet Hänvisningar
Polyvinylklorid Natriumklorid 0,9 % 1 & 10 mg/ml 25°C Ej angiven
3 Dag
13
Evidensnivå B

Polyvinylklorid Natriumklorid 0,9 % 1 & 10 mg/ml 5°C Skyddas från ljus
14 Dag
13
Evidensnivå B

Polyvinylklorid Natriumklorid 0,9 % 1,2 mg/ml -20°C Skyddas från ljus
28 Dag
565
Evidensnivå D

Polyvinylklorid Natriumklorid 0,9 % 1,2 mg/ml 25°C Ljus
48 Timma
434

Polyvinylklorid Natriumklorid 0,9 % 1,2 mg/ml 4°C Skyddas från ljus
48 Timma
434

Polyvinylklorid Glukos 5 % 1,2 mg/ml -20°C Skyddas från ljus
28 Dag
565
Evidensnivå D

Polyvinylklorid Glukos 5 % 1,2 mg/ml 25°C Ljus
48 Timma
434

Polyvinylklorid Glukos 5 % 1,2 mg/ml 4°C Skyddas från ljus
48 Timma
434

Polyvinylklorid Glukos 5 % 3,2 mg/ml -20°C Skyddas från ljus
30 Dag
575
Biologisk analys

Etylenvinylacetat Natriumklorid 0,9 % 0,95 mg/ml 23°C Skyddas från ljus
7 Dag
1704
Evidensnivå A+

Etylenvinylacetat Natriumklorid 0,9 % 0,95 mg/ml 4°C Skyddas från ljus
30 Dag
1704
Evidensnivå A+

Spruta polypropen Vatten för injektion 40 mg/ml 25°C Ej angiven
60 Dag
709
Biologisk analys

Spruta polypropen Vatten för injektion 40 mg/ml 4°C Skyddas från ljus
60 Dag
709
Biologisk analys

Spruta polypropen Natriumklorid 0,9 % 30 mg/ml 22°C-23°C Ljus
48 Timma
639
Evidensnivå D

Polyisopren elastomer Natriumklorid 0,9 % 0,5 & 5 mg/ml 25°C Ej angiven
24 Timma
604
Tillverkarens stabilitetsuppgifter

Polyisopren elastomer Natriumklorid 0,9 % 0,5 & 5 mg/ml 4°C Skyddas från ljus
10 Dag
604
Tillverkarens stabilitetsuppgifter

Polyisopren elastomer Glukos 5 % 0,5 & 5 mg/ml 25°C Ej angiven
24 Timma
604
Tillverkarens stabilitetsuppgifter

Polyisopren elastomer Glukos 5 % 0,5 & 5 mg/ml 4°C Skyddas från ljus
10 Dag
604
Tillverkarens stabilitetsuppgifter


  Mentions Légales