Última actualização :
27/01/2026
antibiótico   Tobramycin sulfate  
injetável
aerossol solução oftálmica Solução Oral
Estabilidade em soluções simples Estabilidade em misturas Factores que afectam a sua estabilidade Compatibilidade Método de administração Bibliografía pdf
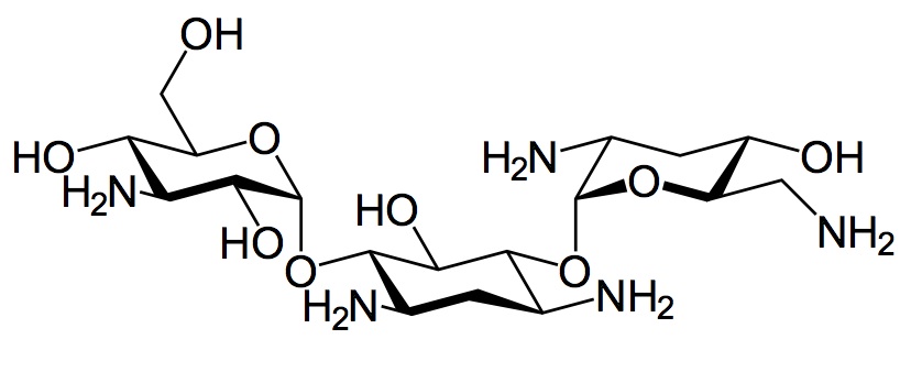
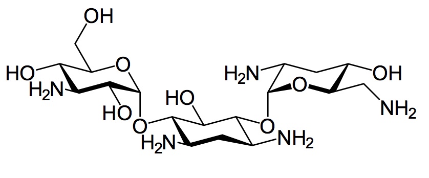
   estrutura química  

Nomes comerciais nos diversos países   Nomes comerciais nos diversos países     

OS NOMES COMERCIAIS SÃO INDICATIVOS E OS EXCIPIENTES DA FORMULAÇÃO PODEM SER DIFERENTES CONFORME O PAÍS E FABRICANTE.

Bactob Índia
Beltob Índia
Bramicil Itália
Brulamycin Eslovenia, Hungria, Malásia
Eltol Índia
Fytobra Índia
Gernebcin Alemanha
Komitob Índia
Nebcin Arábia Saudita, Egipto, Emirados Árabes Unidos, Gran-bretanha, Grècia, nova Zelândia
Nebcina Dinamarca, Marrocos, Noruega, Suècia
Nebcine Eslovenia, França, Marrocos
Nebicina Itália
Obracin Bélgica, Luxemburgo, Países Baixos, Suicia
Tobracin Arábia Saudita, Brasil, Egipto
Tobramicina Argentina, Brasil, Chilli, Colômbia, Equator, Espanha, Itália, Portugal
Tobramina Brasil
Tobramycin Alemanha, Arábia Saudita, Australia, Canadá, Estados Unidos de América, Gran-bretanha, Irlanda, Noruega
Tobramycine França, Irlanda, Países Baixos
Tobrasix Austria
Tobrazid Alemanha
Estabilidade em soluções simples   injetável   Estabilidade em soluções simples : Tobramycin sulfate     
Embalagem Solvente concentração temperatura conservação Duração da estabilidade Bibliografia
Cloreto de polivinilo cloreto de sódio 0,9% 1 & 10 mg/ml 25°C no especificado
3 dia
13
Nível de evidência B

Cloreto de polivinilo cloreto de sódio 0,9% 1 & 10 mg/ml 5°C ao abrigo da luz
14 dia
13
Nível de evidência B

Cloreto de polivinilo cloreto de sódio 0,9% 1,2 mg/ml -20°C ao abrigo da luz
28 dia
565
Nível de evidência D

Cloreto de polivinilo cloreto de sódio 0,9% 1,2 mg/ml 25°C luz
48 hora
434

Cloreto de polivinilo cloreto de sódio 0,9% 1,2 mg/ml 4°C ao abrigo da luz
48 hora
434

Cloreto de polivinilo Glucose 5% 1,2 mg/ml -20°C ao abrigo da luz
28 dia
565
Nível de evidência D

Cloreto de polivinilo Glucose 5% 1,2 mg/ml 25°C luz
48 hora
434

Cloreto de polivinilo Glucose 5% 1,2 mg/ml 4°C ao abrigo da luz
48 hora
434

Cloreto de polivinilo Glucose 5% 3,2 mg/ml -20°C ao abrigo da luz
30 dia
575
análise biológica

Etil-vinil-acetato cloreto de sódio 0,9% 0,95 mg/ml 23°C ao abrigo da luz
7 dia
1704
Nível de evidência A+

Etil-vinil-acetato cloreto de sódio 0,9% 0,95 mg/ml 4°C ao abrigo da luz
30 dia
1704
Nível de evidência A+

seringa polipropylen Agua para injectaveis 40 mg/ml 25°C no especificado
60 dia
709
análise biológica

seringa polipropylen Agua para injectaveis 40 mg/ml 4°C ao abrigo da luz
60 dia
709
análise biológica

seringa polipropylen cloreto de sódio 0,9% 30 mg/ml 22°C-23°C luz
48 hora
639
Nível de evidência D

Elastômero de poliisopreno cloreto de sódio 0,9% 0,5 & 5 mg/ml 25°C no especificado
24 hora
604
Dados estabilidade do fabricante

Elastômero de poliisopreno cloreto de sódio 0,9% 0,5 & 5 mg/ml 4°C ao abrigo da luz
10 dia
604
Dados estabilidade do fabricante

Elastômero de poliisopreno Glucose 5% 0,5 & 5 mg/ml 25°C no especificado
24 hora
604
Dados estabilidade do fabricante

Elastômero de poliisopreno Glucose 5% 0,5 & 5 mg/ml 4°C ao abrigo da luz
10 dia
604
Dados estabilidade do fabricante


  Mentions Légales