Última actualización :
18/03/2026
Antibiótico   Tobramycin sulfate  
Inyectables
Aerosol Gotas oculares Solución Oral
Estabilidad en solucion Estabilidad en mezcla Factores que influyen sobre la estabilidad Compatibilidades método de inyección Bibliografía pdf
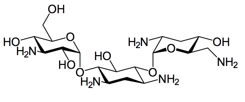
   Estructura química  

Nombre comercial   Nombre comercial     

Los nombres comerciales son orientativos y los excipientes de la formulación pueden ser distintos dependiendo del país y del laboratorio fabricante.

Bactob India
Beltob India
Bramicil Italia
Brulamycin Eslovenia, Hungría, Malasia
Eltol India
Fytobra India
Gernebcin Alemania
Komitob India
Nebcin Arabia Saudita, Egipto, Emiratos Árabes Unidos, Gran Bretaña, Grecia, Nueva Zelanda
Nebcina Dinamarca, Marruecos, Noruega, Suecia
Nebcine Eslovenia, Francia, Marruecos
Nebicina Italia
Obracin Bélgica, Luxemburgo, Países Bajos, Suiza
Tobracin Arabia Saudita, Brasil, Egipto
Tobramicina Argentina, Brasil, Chile, Colombia, Ecuador, España, Italia, Portugal
Tobramina Brasil
Tobramycin Alemania, Arabia Saudita, Australia, Canadá, Estados Unidos de América, Gran Bretaña, Irlanda, Noruega
Tobramycine Francia, Irlanda, Países Bajos
Tobrasix Austria
Tobrazid Alemania
Estabilidad en solucion   Inyectables   Estabilidad en solucion : Tobramycin sulfate     
Envase Solvente Concentración Temperatura Conservación Duración de la estabilidad Bibliografía
Cloruro de polivinilo Cloruro de sodio 0,9% 1 & 10 mg/ml 25°C No precisada
3 Día
13
Nivel de evidencia B

Cloruro de polivinilo Cloruro de sodio 0,9% 1 & 10 mg/ml 5°C A cubierto de la luz
14 Día
13
Nivel de evidencia B

Cloruro de polivinilo Cloruro de sodio 0,9% 1,2 mg/ml -20°C A cubierto de la luz
28 Día
565
Nivel de evidencia D

Cloruro de polivinilo Cloruro de sodio 0,9% 1,2 mg/ml 25°C Luz
48 Hora
434

Cloruro de polivinilo Cloruro de sodio 0,9% 1,2 mg/ml 4°C A cubierto de la luz
48 Hora
434

Cloruro de polivinilo Glucosa 5% 1,2 mg/ml -20°C A cubierto de la luz
28 Día
565
Nivel de evidencia D

Cloruro de polivinilo Glucosa 5% 1,2 mg/ml 25°C Luz
48 Hora
434

Cloruro de polivinilo Glucosa 5% 1,2 mg/ml 4°C A cubierto de la luz
48 Hora
434

Cloruro de polivinilo Glucosa 5% 3,2 mg/ml -20°C A cubierto de la luz
30 Día
575
análisis biológico

Etilén-vinil-acetato Cloruro de sodio 0,9% 0,95 mg/ml 23°C A cubierto de la luz
7 Día
1704
Nivel de evidencia A+

Etilén-vinil-acetato Cloruro de sodio 0,9% 0,95 mg/ml 4°C A cubierto de la luz
30 Día
1704
Nivel de evidencia A+

jeringa polipropileno Agua para preparación inyectable 40 mg/ml 25°C No precisada
60 Día
709
análisis biológico

jeringa polipropileno Agua para preparación inyectable 40 mg/ml 4°C A cubierto de la luz
60 Día
709
análisis biológico

jeringa polipropileno Cloruro de sodio 0,9% 30 mg/ml 22°C-23°C Luz
48 Hora
639
Nivel de evidencia D

Elastómero de poliisopreno Cloruro de sodio 0,9% 0,5 & 5 mg/ml 25°C No precisada
24 Hora
604
Datos de estabilidad del fabricante

Elastómero de poliisopreno Cloruro de sodio 0,9% 0,5 & 5 mg/ml 4°C A cubierto de la luz
10 Día
604
Datos de estabilidad del fabricante

Elastómero de poliisopreno Glucosa 5% 0,5 & 5 mg/ml 25°C No precisada
24 Hora
604
Datos de estabilidad del fabricante

Elastómero de poliisopreno Glucosa 5% 0,5 & 5 mg/ml 4°C A cubierto de la luz
10 Día
604
Datos de estabilidad del fabricante


  Mentions Légales