Ultimo aggiornamento :
12/12/2025
Antibiotico   Tobramycin sulfate  
Iniezione
Aerosol Collirio Soluzione orale
Stabilità in soluzione Stabilità in miscela Fattori che influenzano la stabilità Compatibilità metodo di iniezione Bibliografia pdf
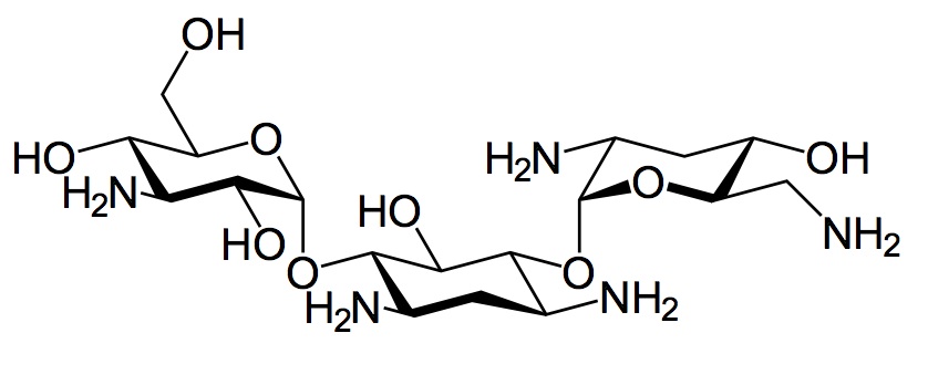
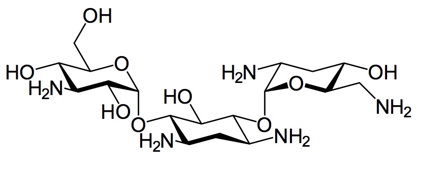
   Struttura chimica  

Nome commerciale   Nome commerciale     

Trade names are indicative and excipients composition can be different depending on the country and manufacturers

Bactob India
Beltob India
Bramicil Italia
Brulamycin Malaysia, Slovenia, Ungheria
Eltol India
Fytobra India
Gernebcin Germania
Komitob India
Nebcin Arabia Saudita, Egitto, Emirati Arabi Uniti, Gran Bretagna, Grecia, nuova Zelanda
Nebcina Danimarca, Marocco, Norvegia, Svezia
Nebcine Francia, Marocco, Slovenia
Nebicina Italia
Obracin Belgio, Lussemburgo, Paesi Bassi, Svizzera
Tobracin Arabia Saudita, Brasile, Egitto
Tobramicina Argentina, Brasile, Chile, Colombia, Ecuador, Italia, Portogallo, Spagna
Tobramina Brasile
Tobramycin Arabia Saudita, Australia, Canada, Germania, Gran Bretagna, Irlanda, Norvegia, Stati Uniti d’America
Tobramycine Francia, Irlanda, Paesi Bassi
Tobrasix Austria
Tobrazid Germania
Stabilità in soluzione   Iniezione   Stabilità in soluzione : Tobramycin sulfate     
contenitore Solvente Concentrazione Temperatura Conservazione Durata della stabilità Bibliografia
Cloruro di polivinile Cloruro di sodio 0,9% 1 & 10 mg/ml 25°C Non precisata
3 Giorno
13
Livello di evidenza B

Cloruro di polivinile Cloruro di sodio 0,9% 1 & 10 mg/ml 5°C Al riparo dalla luce
14 Giorno
13
Livello di evidenza B

Cloruro di polivinile Cloruro di sodio 0,9% 1,2 mg/ml -20°C Al riparo dalla luce
28 Giorno
565
Livello di evidenza D

Cloruro di polivinile Cloruro di sodio 0,9% 1,2 mg/ml 25°C Luce
48 Ora
434

Cloruro di polivinile Cloruro di sodio 0,9% 1,2 mg/ml 4°C Al riparo dalla luce
48 Ora
434

Cloruro di polivinile Glucosio 5% 1,2 mg/ml -20°C Al riparo dalla luce
28 Giorno
565
Livello di evidenza D

Cloruro di polivinile Glucosio 5% 1,2 mg/ml 25°C Luce
48 Ora
434

Cloruro di polivinile Glucosio 5% 1,2 mg/ml 4°C Al riparo dalla luce
48 Ora
434

Cloruro di polivinile Glucosio 5% 3,2 mg/ml -20°C Al riparo dalla luce
30 Giorno
575
Analisi biologica

Etilene vinilacetato Cloruro di sodio 0,9% 0,95 mg/ml 23°C Al riparo dalla luce
7 Giorno
1704
Livello di evidenza A+

Etilene vinilacetato Cloruro di sodio 0,9% 0,95 mg/ml 4°C Al riparo dalla luce
30 Giorno
1704
Livello di evidenza A+

siringa polipropilene Acqua per preparato iniettabile 40 mg/ml 25°C Non precisata
60 Giorno
709
Analisi biologica

siringa polipropilene Acqua per preparato iniettabile 40 mg/ml 4°C Al riparo dalla luce
60 Giorno
709
Analisi biologica

siringa polipropilene Cloruro di sodio 0,9% 30 mg/ml 22°C-23°C Luce
48 Ora
639
Livello di evidenza D

Elastomero poliisoprenico Cloruro di sodio 0,9% 0,5 & 5 mg/ml 25°C Non precisata
24 Ora
604
Dati di stabilità del produttore

Elastomero poliisoprenico Cloruro di sodio 0,9% 0,5 & 5 mg/ml 4°C Al riparo dalla luce
10 Giorno
604
Dati di stabilità del produttore

Elastomero poliisoprenico Glucosio 5% 0,5 & 5 mg/ml 25°C Non precisata
24 Ora
604
Dati di stabilità del produttore

Elastomero poliisoprenico Glucosio 5% 0,5 & 5 mg/ml 4°C Al riparo dalla luce
10 Giorno
604
Dati di stabilità del produttore


  Mentions Légales