Pēdējā atjaunošana :
27/01/2026
Antibiotika   Tobramycin sulfate  
Injekcija
Acu pilieni Aerosols Orāls šķīdums
Šķīduma stabilitāte Maisījuma stabilitāte Stabilitāti ietekmējoši faktori Saderība Levadīšanas veids Literatūras saraksts pdf
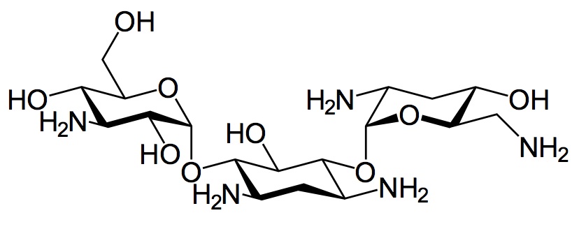
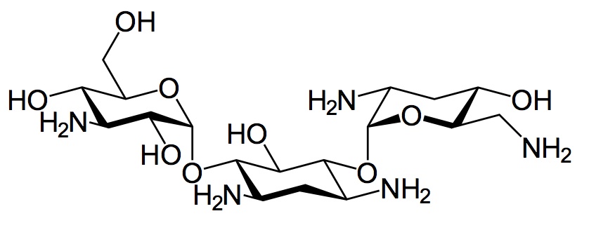
   Ķīmiskā uzbūve   

Oriģinālais nosaukums   Oriģinālais nosaukums     

Tirdzniecības nosaukumi ir apzīmējoši un palīgvielas var atšķirties dažādām valstīm un laboratorijām

Bactob Indija
Beltob Indija
Bramicil Itālija
Brulamycin Malaizija, Slovēnija, Ungārija
Eltol Indija
Fytobra Indija
Gernebcin Vācija
Komitob Indija
Nebcin Apvienotie Arābu Emirāti, Ēģipte, Grieķija, Jaunzēlande, Lielbritānija, Saūda Arābija
Nebcina Dānija, Maroka, Norvēģija, Zviedrija
Nebcine Francija, Maroka, Slovēnija
Nebicina Itālija
Obracin Beļģija, Holande, Luksemburga, Šveice
Tobracin Brazīlija, Ēģipte, Saūda Arābija
Tobramicina Argentīna, Brazīlija, Čīle, Ekvadora, Itālija, Kolumbija, Portugāle, Spānija
Tobramina Brazīlija
Tobramycin Amerikas Savienotās Valstis, Austrālija, Īrija, Kanāda, Lielbritānija, Norvēģija, Saūda Arābija, Vācija
Tobramycine Francija, Holande, Īrija
Tobrasix Austrija
Tobrazid Vācija
Šķīduma stabilitāte   Injekcija   Šķīduma stabilitāte : Tobramycin sulfate     
Iepakojums Šķīdinātājs Koncentrācija Temperatūra Glabāšana Stabilitātes ilgums Literatūras saraksts
Polivinilhlorīds Nātrija hlorīds 0.9% 1 & 10 mg/ml 25°C Nav specifisks
3 Diena
13
Pierādījumu līmenis B

Polivinilhlorīds Nātrija hlorīds 0.9% 1 & 10 mg/ml 5°C Aizsargāt no gaismas
14 Diena
13
Pierādījumu līmenis B

Polivinilhlorīds Nātrija hlorīds 0.9% 1,2 mg/ml -20°C Aizsargāt no gaismas
28 Diena
565
Pierādījumu līmenis D

Polivinilhlorīds Nātrija hlorīds 0.9% 1,2 mg/ml 25°C Gaisma
48 Stunda
434

Polivinilhlorīds Nātrija hlorīds 0.9% 1,2 mg/ml 4°C Aizsargāt no gaismas
48 Stunda
434

Polivinilhlorīds 5% glikoze 1,2 mg/ml -20°C Aizsargāt no gaismas
28 Diena
565
Pierādījumu līmenis D

Polivinilhlorīds 5% glikoze 1,2 mg/ml 25°C Gaisma
48 Stunda
434

Polivinilhlorīds 5% glikoze 1,2 mg/ml 4°C Aizsargāt no gaismas
48 Stunda
434

Polivinilhlorīds 5% glikoze 3,2 mg/ml -20°C Aizsargāt no gaismas
30 Diena
575
Bioloģiskā metode

Etilvinilacetāts Nātrija hlorīds 0.9% 0,95 mg/ml 23°C Aizsargāt no gaismas
7 Diena
1704
Pierādījumu līmenis A+

Etilvinilacetāts Nātrija hlorīds 0.9% 0,95 mg/ml 4°C Aizsargāt no gaismas
30 Diena
1704
Pierādījumu līmenis A+

Šļirce polipropilēna Ūdens injekcijām 40 mg/ml 25°C Nav specifisks
60 Diena
709
Bioloģiskā metode

Šļirce polipropilēna Ūdens injekcijām 40 mg/ml 4°C Aizsargāt no gaismas
60 Diena
709
Bioloģiskā metode

Šļirce polipropilēna Nātrija hlorīds 0.9% 30 mg/ml 22°C-23°C Gaisma
48 Stunda
639
Pierādījumu līmenis D

Poliizoprēna elastomērs Nātrija hlorīds 0.9% 0,5 & 5 mg/ml 25°C Nav specifisks
24 Stunda
604
Ražotāja stabilitātes dati

Poliizoprēna elastomērs Nātrija hlorīds 0.9% 0,5 & 5 mg/ml 4°C Aizsargāt no gaismas
10 Diena
604
Ražotāja stabilitātes dati

Poliizoprēna elastomērs 5% glikoze 0,5 & 5 mg/ml 25°C Nav specifisks
24 Stunda
604
Ražotāja stabilitātes dati

Poliizoprēna elastomērs 5% glikoze 0,5 & 5 mg/ml 4°C Aizsargāt no gaismas
10 Diena
604
Ražotāja stabilitātes dati


  Mentions Légales