Last update :
27/01/2026
Antibiotic   Tobramycin sulfate  
injection
aerosol Eye-drops Oral solution
Stability in solutions Stability of mixtures Factors which affect stability Compatibility Route of administration References pdf
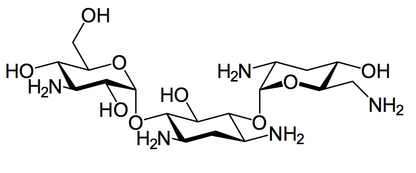
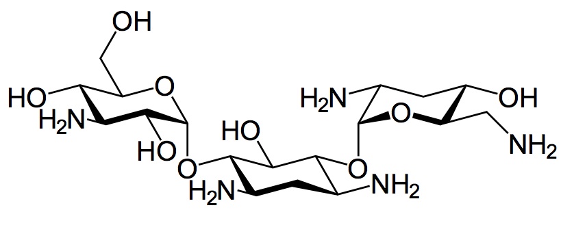
   Chemical structure  

Tradename   Tradename     

Trade names are indicative and excipients composition can be different depending on the country and manufacturers

Bactob India
Beltob India
Bramicil Italy
Brulamycin Hungary, Malaysia, Slovenia
Eltol India
Fytobra India
Gernebcin Germany
Komitob India
Nebcin Egypt, Great Britain, Greece, New Zealand, Saudi Arabia, United Arab Emirates
Nebcina Denmark, Morocco, Norway, Sweden
Nebcine France, Morocco, Slovenia
Nebicina Italy
Obracin Belgium, Luxembourg, Netherlands, Switzerland
Tobracin Brazil, Egypt, Saudi Arabia
Tobramicina Argentina, Brazil, Chile, Colombia, Ecuador, Italy, Portugal, Spain
Tobramina Brazil
Tobramycin Australia, Canada, Germany, Great Britain, Ireland, Norway, Saudi Arabia, United States of America
Tobramycine France, Ireland, Netherlands
Tobrasix Austria
Tobrazid Germany
Stability in solutions   injection   Stability in solutions : Tobramycin sulfate     
Container Solvent Concentration Temperature Storage Duration of stability References
Polyvinyl chloride Sodium chloride 0,9% 1 & 10 mg/ml 25°C Not specified
3 Day
13
Level of evidence B

Polyvinyl chloride Sodium chloride 0,9% 1 & 10 mg/ml 5°C Protect from light
14 Day
13
Level of evidence B

Polyvinyl chloride Sodium chloride 0,9% 1,2 mg/ml -20°C Protect from light
28 Day
565
Level of evidence D

Polyvinyl chloride Sodium chloride 0,9% 1,2 mg/ml 25°C Light
48 Hour
434

Polyvinyl chloride Sodium chloride 0,9% 1,2 mg/ml 4°C Protect from light
48 Hour
434

Polyvinyl chloride Glucose 5% 1,2 mg/ml -20°C Protect from light
28 Day
565
Level of evidence D

Polyvinyl chloride Glucose 5% 1,2 mg/ml 25°C Light
48 Hour
434

Polyvinyl chloride Glucose 5% 1,2 mg/ml 4°C Protect from light
48 Hour
434

Polyvinyl chloride Glucose 5% 3,2 mg/ml -20°C Protect from light
30 Day
575
Biological analysis

Ethylene vinyl acetate Sodium chloride 0,9% 0,95 mg/ml 23°C Protect from light
7 Day
1704
Level of evidence A+

Ethylene vinyl acetate Sodium chloride 0,9% 0,95 mg/ml 4°C Protect from light
30 Day
1704
Level of evidence A+

Polypropylen Syringe Water for Injection 40 mg/ml 25°C Not specified
60 Day
709
Biological analysis

Polypropylen Syringe Water for Injection 40 mg/ml 4°C Protect from light
60 Day
709
Biological analysis

Polypropylen Syringe Sodium chloride 0,9% 30 mg/ml 22°C-23°C Light
48 Hour
639
Level of evidence D

Polyisoprene elastomer Sodium chloride 0,9% 0,5 & 5 mg/ml 25°C Not specified
24 Hour
604
Manufacturer's stability data

Polyisoprene elastomer Sodium chloride 0,9% 0,5 & 5 mg/ml 4°C Protect from light
10 Day
604
Manufacturer's stability data

Polyisoprene elastomer Glucose 5% 0,5 & 5 mg/ml 25°C Not specified
24 Hour
604
Manufacturer's stability data

Polyisoprene elastomer Glucose 5% 0,5 & 5 mg/ml 4°C Protect from light
10 Day
604
Manufacturer's stability data


  Mentions Légales