Ultimele actualizari :
07/01/2026
Antibiotic   Tobramycin sulfate  
Injectabil
Aerosol colir Soluţie orală
Stabilitatea in solutie Stabilitatea in amestec Factorii care influenteaza stabilitatea Compatibilitate Microunde Bibliografie pdf
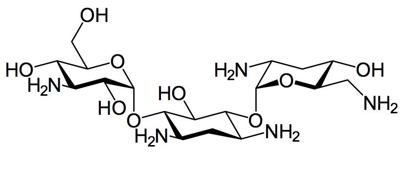
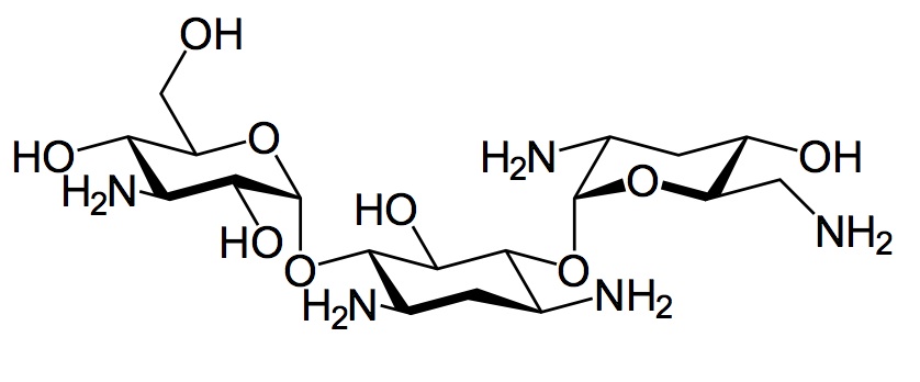
   Formula chimica  

Denumirea comerciala   Denumirea comerciala     

Trade names are indicative and excipients composition can be different depending on the country and manufacturers

Bactob India
Beltob India
Bramicil Italia
Brulamycin Malaezia, Slovenia, Ungaria
Eltol India
Fytobra India
Gernebcin Germania
Komitob India
Nebcin Arabia Saudita, Egipt, Emiratele Arabe Unite, Grecia, Marea Britanie, noua Zeelandă
Nebcina Danemarca, Maroc, Norvegia, Suedia
Nebcine Franta, Maroc, Slovenia
Nebicina Italia
Obracin Belgia, Elvetia, Luxemburg, Olanda
Tobracin Arabia Saudita, Brazilia, Egipt
Tobramicina Argentina, Brazilia, Chilli, Columbia, Ecuador, Italia, Portugalia, Spania
Tobramina Brazilia
Tobramycin Arabia Saudita, Australia, Canada, Germania, Irlanda, Marea Britanie, Norvegia, SUA
Tobramycine Franta, Irlanda, Olanda
Tobrasix Austria
Tobrazid Germania
Stabilitatea in solutie   Injectabil   Stabilitatea in solutie : Tobramycin sulfate     
Continut Solvent Concentratie Temperatura Conservare Durata stabilității Bibiografie
clorura de polivinil clorura de sodiu 0,9% 1 & 10 mg/ml 25°C Neprecizat
3 Ziua
13
Nivel de evidență B

clorura de polivinil clorura de sodiu 0,9% 1 & 10 mg/ml 5°C Ferit de lumina
14 Ziua
13
Nivel de evidență B

clorura de polivinil clorura de sodiu 0,9% 1,2 mg/ml -20°C Ferit de lumina
28 Ziua
565
Nivel de evidență D

clorura de polivinil clorura de sodiu 0,9% 1,2 mg/ml 25°C Lumina
48 Ora
434

clorura de polivinil clorura de sodiu 0,9% 1,2 mg/ml 4°C Ferit de lumina
48 Ora
434

clorura de polivinil Glucoza 5% 1,2 mg/ml -20°C Ferit de lumina
28 Ziua
565
Nivel de evidență D

clorura de polivinil Glucoza 5% 1,2 mg/ml 25°C Lumina
48 Ora
434

clorura de polivinil Glucoza 5% 1,2 mg/ml 4°C Ferit de lumina
48 Ora
434

clorura de polivinil Glucoza 5% 3,2 mg/ml -20°C Ferit de lumina
30 Ziua
575
Analiza biologică

etilen vinil acetat clorura de sodiu 0,9% 0,95 mg/ml 23°C Ferit de lumina
7 Ziua
1704
Nivel de evidență A+

etilen vinil acetat clorura de sodiu 0,9% 0,95 mg/ml 4°C Ferit de lumina
30 Ziua
1704
Nivel de evidență A+

seringă polipropileno apa pentru preparate injectabile 40 mg/ml 25°C Neprecizat
60 Ziua
709
Analiza biologică

seringă polipropileno apa pentru preparate injectabile 40 mg/ml 4°C Ferit de lumina
60 Ziua
709
Analiza biologică

seringă polipropileno clorura de sodiu 0,9% 30 mg/ml 22°C-23°C Lumina
48 Ora
639
Nivel de evidență D

Elastomer poliizoprenic clorura de sodiu 0,9% 0,5 & 5 mg/ml 25°C Neprecizat
24 Ora
604
Documentele de stabilitate ale producătorului

Elastomer poliizoprenic clorura de sodiu 0,9% 0,5 & 5 mg/ml 4°C Ferit de lumina
10 Ziua
604
Documentele de stabilitate ale producătorului

Elastomer poliizoprenic Glucoza 5% 0,5 & 5 mg/ml 25°C Neprecizat
24 Ora
604
Documentele de stabilitate ale producătorului

Elastomer poliizoprenic Glucoza 5% 0,5 & 5 mg/ml 4°C Ferit de lumina
10 Ziua
604
Documentele de stabilitate ale producătorului


  Mentions Légales