Τελευταία ενημέρωση :
27/01/2026
Αντιβιοτικό   Tobramycin sulfate  
Ενέσιμο
Αεροζόλ Οφθαλμικές σταγόνες Πόσιμο διάλυμα
Σταθερότητα διαλυμάτων Σταθερότητα σε μίγματα Παράγοντας που επηρεάζει τη σταθερότητα Συμβατότητες Τρόπος χορήγησης Βιβλιογραφία pdf
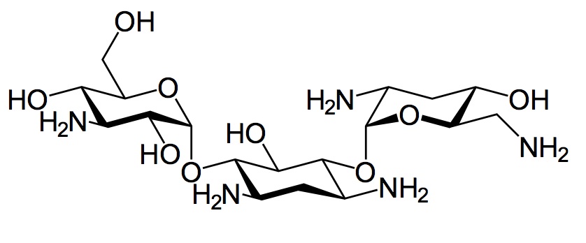
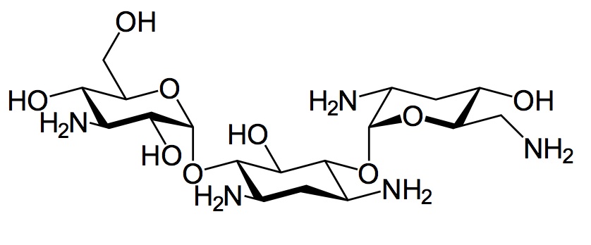
   χημική δομή  

Εμπορική ονομασία   Εμπορική ονομασία     

Οι εμπορικές ονομασίες είναι ενδεικτικές και η σύνθεση των εκδόχων μπορεί να διαφέρει ανάλογα με τη χώρα και τα εργαστήρια

Bactob Ινδία
Beltob Ινδία
Bramicil Ιταλία
Brulamycin Μαλαισία, Ουγγαρία, Σλοβενία
Eltol Ινδία
Fytobra Ινδία
Gernebcin Γερμανία
Komitob Ινδία
Nebcin Yhdistyneet arabiemiirikunnat, Αίγυπτος, Ελλάδα, Μεγάλη Βρετανία, νέα Ζηλανδία, Σαουδική Αραβία
Nebcina Δανία, Μαρόκο, Νορβηγία, Σουηδία
Nebcine Γαλλία, Μαρόκο, Σλοβενία
Nebicina Ιταλία
Obracin Βέλγιο, Ελβετία, Λουξεμβούργο, Ολλανδία
Tobracin Αίγυπτος, Βραζιλία, Σαουδική Αραβία
Tobramicina Αργεντινή, Βραζιλία, Εκουαδόρ, Ισπανία, Ιταλία, Κολομβία, Πορτογαλία, Χιλή
Tobramina Βραζιλία
Tobramycin Αυστραλία, Γερμανία, Η.Π.Α., Ιρλανδία, Καναδάς, Μεγάλη Βρετανία, Νορβηγία, Σαουδική Αραβία
Tobramycine Γαλλία, Ιρλανδία, Ολλανδία
Tobrasix Αυστρία
Tobrazid Γερμανία
Σταθερότητα διαλυμάτων   Ενέσιμο   Σταθερότητα διαλυμάτων : Tobramycin sulfate     
Υποδοχέας Διαλυτικό Συγκέντρωση Θερμοκρασία Αποθήκευση Διάρκεια σταθερότητας Βιβλιογραφία
Πολυβινυλοχλωρίδιο Χλωριούχο νάτριο 0,9% 1 & 10 mg/ml 25°C Απροσδιόριστο
3 Ημέρα
13
Επίπεδο των αποδεικτικών στοιχείων B

Πολυβινυλοχλωρίδιο Χλωριούχο νάτριο 0,9% 1 & 10 mg/ml 5°C Προστατεύετε από το φως
14 Ημέρα
13
Επίπεδο των αποδεικτικών στοιχείων B

Πολυβινυλοχλωρίδιο Χλωριούχο νάτριο 0,9% 1,2 mg/ml -20°C Προστατεύετε από το φως
28 Ημέρα
565
Επίπεδο των αποδεικτικών στοιχείων D

Πολυβινυλοχλωρίδιο Χλωριούχο νάτριο 0,9% 1,2 mg/ml 25°C Φως
48 Ώρα
434

Πολυβινυλοχλωρίδιο Χλωριούχο νάτριο 0,9% 1,2 mg/ml 4°C Προστατεύετε από το φως
48 Ώρα
434

Πολυβινυλοχλωρίδιο Γλυκόζη 5% 1,2 mg/ml -20°C Προστατεύετε από το φως
28 Ημέρα
565
Επίπεδο των αποδεικτικών στοιχείων D

Πολυβινυλοχλωρίδιο Γλυκόζη 5% 1,2 mg/ml 25°C Φως
48 Ώρα
434

Πολυβινυλοχλωρίδιο Γλυκόζη 5% 1,2 mg/ml 4°C Προστατεύετε από το φως
48 Ώρα
434

Πολυβινυλοχλωρίδιο Γλυκόζη 5% 3,2 mg/ml -20°C Προστατεύετε από το φως
30 Ημέρα
575
Βιολογική ανάλυση

Συμπολυμερές του αιθυλενίου και του οξικ Χλωριούχο νάτριο 0,9% 0,95 mg/ml 23°C Προστατεύετε από το φως
7 Ημέρα
1704
Επίπεδο των αποδεικτικών στοιχείων A+

Συμπολυμερές του αιθυλενίου και του οξικ Χλωριούχο νάτριο 0,9% 0,95 mg/ml 4°C Προστατεύετε από το φως
30 Ημέρα
1704
Επίπεδο των αποδεικτικών στοιχείων A+

σύριγγα πολυπροπυλένιο Ενέσιμο ύδωρ 40 mg/ml 25°C Απροσδιόριστο
60 Ημέρα
709
Βιολογική ανάλυση

σύριγγα πολυπροπυλένιο Ενέσιμο ύδωρ 40 mg/ml 4°C Προστατεύετε από το φως
60 Ημέρα
709
Βιολογική ανάλυση

σύριγγα πολυπροπυλένιο Χλωριούχο νάτριο 0,9% 30 mg/ml 22°C-23°C Φως
48 Ώρα
639
Επίπεδο των αποδεικτικών στοιχείων D

Ελαστομερές πολυισοπρένιο Χλωριούχο νάτριο 0,9% 0,5 & 5 mg/ml 25°C Απροσδιόριστο
24 Ώρα
604
Δεδομένα σταθερότητας του κατασκευαστή/ών

Ελαστομερές πολυισοπρένιο Χλωριούχο νάτριο 0,9% 0,5 & 5 mg/ml 4°C Προστατεύετε από το φως
10 Ημέρα
604
Δεδομένα σταθερότητας του κατασκευαστή/ών

Ελαστομερές πολυισοπρένιο Γλυκόζη 5% 0,5 & 5 mg/ml 25°C Απροσδιόριστο
24 Ώρα
604
Δεδομένα σταθερότητας του κατασκευαστή/ών

Ελαστομερές πολυισοπρένιο Γλυκόζη 5% 0,5 & 5 mg/ml 4°C Προστατεύετε από το φως
10 Ημέρα
604
Δεδομένα σταθερότητας του κατασκευαστή/ών


  Mentions Légales