Laatste update :
18/03/2026
Antibioticum   Tobramycin sulfate  
injecteerbaar geneesmiddel
Aerosol Oogwater Orale Oplossing
Stabiliteit in oplossing Stabiliteit in mengsels Factoren die de stabiliteit beïnvloeden Verenigbaarheden Toedieningswijze Literatuur pdf
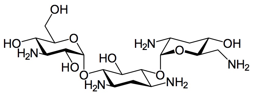
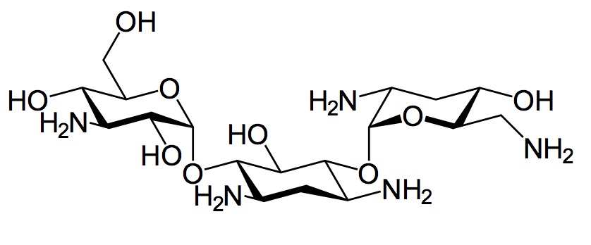
   Molecuulstructuur  

Merknamen in verschillende landen   Merknamen in verschillende landen     

Handelsnamen zijn slechts een indicatie; de samenstelling van hulpstoffen kan per land variëren afhankelijk van de fabrikant

Bactob Indië
Beltob Indië
Bramicil Italië
Brulamycin Hongarije, Maleisië, Slovenië
Eltol Indië
Fytobra Indië
Gernebcin Duitsland
Komitob Indië
Nebcin Egypte, Griekenland, Groot Britannië, nieuw Zeeland, Saudi-Arabië, Verenigde Arabische Emiraten
Nebcina Denemarken, Marokko, Noorwegen, Zweden
Nebcine Frankrijk, Marokko, Slovenië
Nebicina Italië
Obracin België, Luxemburg, Nederland, Zwitserland
Tobracin Brazilië, Egypte, Saudi-Arabië
Tobramicina Argentinië, Brazilië, Chili, Colombia, Ecuador, Italië, Portugal, Spanje
Tobramina Brazilië
Tobramycin Australië, Canada, Duitsland, Groot Britannië, Ierland, Noorwegen, Saudi-Arabië, USA
Tobramycine Frankrijk, Ierland, Nederland
Tobrasix Oostenrijk
Tobrazid Duitsland
Stabiliteit in oplossing   injecteerbaar geneesmiddel   Stabiliteit in oplossing : Tobramycin sulfate     
Verpakking Oplosmiddel Concentratie Temperatuur Bewaring Duur van de stabiliteit Literatuur
Polyvinylchloride (PVC) Natriumchloride 0,9% 1 & 10 mg/ml 25°C Niet gespecificeerd
3 Dag
13
Bewijsniveau B

Polyvinylchloride (PVC) Natriumchloride 0,9% 1 & 10 mg/ml 5°C Buiten invloed van licht
14 Dag
13
Bewijsniveau B

Polyvinylchloride (PVC) Natriumchloride 0,9% 1,2 mg/ml -20°C Buiten invloed van licht
28 Dag
565
Bewijsniveau D

Polyvinylchloride (PVC) Natriumchloride 0,9% 1,2 mg/ml 25°C Licht
48 Uur
434

Polyvinylchloride (PVC) Natriumchloride 0,9% 1,2 mg/ml 4°C Buiten invloed van licht
48 Uur
434

Polyvinylchloride (PVC) Glucose 5% 1,2 mg/ml -20°C Buiten invloed van licht
28 Dag
565
Bewijsniveau D

Polyvinylchloride (PVC) Glucose 5% 1,2 mg/ml 25°C Licht
48 Uur
434

Polyvinylchloride (PVC) Glucose 5% 1,2 mg/ml 4°C Buiten invloed van licht
48 Uur
434

Polyvinylchloride (PVC) Glucose 5% 3,2 mg/ml -20°C Buiten invloed van licht
30 Dag
575
Biologische analyse

Ethyleenvinylacetaat (EVA) Natriumchloride 0,9% 0,95 mg/ml 23°C Buiten invloed van licht
7 Dag
1704
Bewijsniveau A+

Ethyleenvinylacetaat (EVA) Natriumchloride 0,9% 0,95 mg/ml 4°C Buiten invloed van licht
30 Dag
1704
Bewijsniveau A+

injectiespuit polypropyleen Water voor injectie 40 mg/ml 25°C Niet gespecificeerd
60 Dag
709
Biologische analyse

injectiespuit polypropyleen Water voor injectie 40 mg/ml 4°C Buiten invloed van licht
60 Dag
709
Biologische analyse

injectiespuit polypropyleen Natriumchloride 0,9% 30 mg/ml 22°C-23°C Licht
48 Uur
639
Bewijsniveau D

Polyisopreen elastomeer Natriumchloride 0,9% 0,5 & 5 mg/ml 25°C Niet gespecificeerd
24 Uur
604
Stabiliteitsgegevens van de fabrikant

Polyisopreen elastomeer Natriumchloride 0,9% 0,5 & 5 mg/ml 4°C Buiten invloed van licht
10 Dag
604
Stabiliteitsgegevens van de fabrikant

Polyisopreen elastomeer Glucose 5% 0,5 & 5 mg/ml 25°C Niet gespecificeerd
24 Uur
604
Stabiliteitsgegevens van de fabrikant

Polyisopreen elastomeer Glucose 5% 0,5 & 5 mg/ml 4°C Buiten invloed van licht
10 Dag
604
Stabiliteitsgegevens van de fabrikant


  Mentions Légales