Dernière mise à jour :
17/12/2025
Antibiotique   Tobramycin sulfate  
injectable
Aérosol Collyre Solution buvable
Stabilité des solutions Stabilité en mélange Facteur influençant la stabilité Compatibilités Voie d’administration Bibliographie pdf
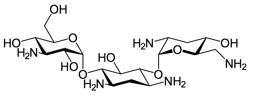
   Structure chimique  

Noms commerciaux   Noms commerciaux     

Les noms commerciaux sont donnés à titre indicatif et la composition en excipients peut être différente selon les pays et selon les laboratoires

Bactob Inde
Beltob Inde
Bramicil Italie
Brulamycin Hongrie, Malaisie, Slovénie
Eltol Inde
Fytobra Inde
Gernebcin Allemagne
Komitob Inde
Nebcin Arabie Saoudite, Egypte, Emirats Arabes Unis , Grande Bretagne, Grèce, Nouvelle Zélande
Nebcina Danemark, Maroc, Norvège, Suède
Nebcine France, Maroc, Slovénie
Nebicina Italie
Obracin Belgique, Luxembourg, Pays bas, Suisse
Tobracin Arabie Saoudite, Brésil, Egypte
Tobramicina Argentine, Brésil, Chili, Colombie, Equateur, Espagne, Italie, Portugal
Tobramina Brésil
Tobramycin Allemagne, Arabie Saoudite, Australie, Canada, Etats Unis d’Amérique, Grande Bretagne, Irlande, Norvège
Tobramycine France, Irlande, Pays bas
Tobrasix Autriche
Tobrazid Allemagne
Stabilité des solutions   injectable   Stabilité des solutions : Tobramycin sulfate     
Contenant Solvant Concentration Température Conservation Durée de stabilité Bibliographie
Polyvinyl chlorure Chlorure de sodium 0,9% 1 & 10 mg/ml 25°C Non précisée
3 Jour
13
Niveau de preuve B

Polyvinyl chlorure Chlorure de sodium 0,9% 1 & 10 mg/ml 5°C A l’abri de la lumière
14 Jour
13
Niveau de preuve B

Polyvinyl chlorure Chlorure de sodium 0,9% 1,2 mg/ml -20°C A l’abri de la lumière
28 Jour
565
Niveau de preuve D

Polyvinyl chlorure Chlorure de sodium 0,9% 1,2 mg/ml 25°C Lumière
48 Heure
434

Polyvinyl chlorure Chlorure de sodium 0,9% 1,2 mg/ml 4°C A l’abri de la lumière
48 Heure
434

Polyvinyl chlorure Glucose 5% 1,2 mg/ml -20°C A l’abri de la lumière
28 Jour
565
Niveau de preuve D

Polyvinyl chlorure Glucose 5% 1,2 mg/ml 25°C Lumière
48 Heure
434

Polyvinyl chlorure Glucose 5% 1,2 mg/ml 4°C A l’abri de la lumière
48 Heure
434

Polyvinyl chlorure Glucose 5% 3,2 mg/ml -20°C A l’abri de la lumière
30 Jour
575
Méthode biologique

Ethylène vinyl acétate Chlorure de sodium 0,9% 0,95 mg/ml 23°C A l’abri de la lumière
7 Jour
1704
Niveau de preuve A +

Ethylène vinyl acétate Chlorure de sodium 0,9% 0,95 mg/ml 4°C A l’abri de la lumière
30 Jour
1704
Niveau de preuve A +

Seringue polypropylène Eau pour préparation injectable 40 mg/ml 25°C Non précisée
60 Jour
709
Méthode biologique

Seringue polypropylène Eau pour préparation injectable 40 mg/ml 4°C A l’abri de la lumière
60 Jour
709
Méthode biologique

Seringue polypropylène Chlorure de sodium 0,9% 30 mg/ml 22°C-23°C Lumière
48 Heure
639
Niveau de preuve D

Elastomère en polyisoprène Chlorure de sodium 0,9% 0,5 & 5 mg/ml 25°C Non précisée
24 Heure
604
Données de stabilité du fabricant

Elastomère en polyisoprène Chlorure de sodium 0,9% 0,5 & 5 mg/ml 4°C A l’abri de la lumière
10 Jour
604
Données de stabilité du fabricant

Elastomère en polyisoprène Glucose 5% 0,5 & 5 mg/ml 25°C Non précisée
24 Heure
604
Données de stabilité du fabricant

Elastomère en polyisoprène Glucose 5% 0,5 & 5 mg/ml 4°C A l’abri de la lumière
10 Jour
604
Données de stabilité du fabricant


  Mentions Légales