Viimeisin päivitys :
27/01/2026
Antibiootit   Tobramycin sulfate  
Injektioneste
Aerosoli Oraaliliuos Silmätipat
Stabilius liuoksessa Stabilius seoksissa Tekijät, jotka vaikuttavat stabiliuteen Yhteensopivuus Antotapa Viitteet pdf
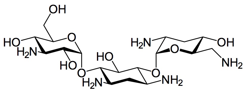
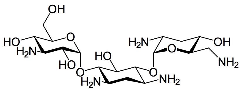
   Kemiallinen rakenne  

Kauppanimi   Kauppanimi     

Trade names are indicative and excipients composition can be different depending on the country and manufacturers

Bactob Intia
Beltob Intia
Bramicil Italia
Brulamycin Malesia, Slovenia, Unkari
Eltol Intia
Fytobra Intia
Gernebcin Saksa
Komitob Intia
Nebcin Egypti, Iso-Britannia, Kreikka, New Zealand, Saudi-Arabia, Yhdistyneet arabiemiirikunnat
Nebcina Marokko, Norja, Ruotsi, Tanska
Nebcine Marokko, Ranska, Slovenia
Nebicina Italia
Obracin Belgia, Hollanti, Luxemburg, Sveitsi
Tobracin Brasilia, Egypti, Saudi-Arabia
Tobramicina Argentiina, Brasilia, Chile, Ecuador, Espanja, Italia, Kolumbia, Portugali
Tobramina Brasilia
Tobramycin Australia, Irlanti, Iso-Britannia, Kanada, Norja, Saksa, Saudi-Arabia, Yhdysvallat
Tobramycine Hollanti, Irlanti, Ranska
Tobrasix Itävalta
Tobrazid Saksa
Stabilius liuoksessa   Injektioneste   Stabilius liuoksessa : Tobramycin sulfate     
Astia Liuotin Konsentraatio Lämpötila Säilytys Vakauden kesto Viitteet
Polyvinyylikloridi Natriumkloridi 0,9% 1 & 10 mg/ml 25°C Ei määritetty
3 Päivä
13
Näytön laajuus B

Polyvinyylikloridi Natriumkloridi 0,9% 1 & 10 mg/ml 5°C Suojattava valolta
14 Päivä
13
Näytön laajuus B

Polyvinyylikloridi Natriumkloridi 0,9% 1,2 mg/ml -20°C Suojattava valolta
28 Päivä
565
Näytön laajuus D

Polyvinyylikloridi Natriumkloridi 0,9% 1,2 mg/ml 25°C Valo
48 tunti
434

Polyvinyylikloridi Natriumkloridi 0,9% 1,2 mg/ml 4°C Suojattava valolta
48 tunti
434

Polyvinyylikloridi Glukoosi 5% 1,2 mg/ml -20°C Suojattava valolta
28 Päivä
565
Näytön laajuus D

Polyvinyylikloridi Glukoosi 5% 1,2 mg/ml 25°C Valo
48 tunti
434

Polyvinyylikloridi Glukoosi 5% 1,2 mg/ml 4°C Suojattava valolta
48 tunti
434

Polyvinyylikloridi Glukoosi 5% 3,2 mg/ml -20°C Suojattava valolta
30 Päivä
575
Biologinen menetelmä

Etyleenivinyyliasetaatti Natriumkloridi 0,9% 0,95 mg/ml 23°C Suojattava valolta
7 Päivä
1704
Näytön laajuus A+

Etyleenivinyyliasetaatti Natriumkloridi 0,9% 0,95 mg/ml 4°C Suojattava valolta
30 Päivä
1704
Näytön laajuus A+

Ruisku  polypropeeni Injektionesteisiin käytettävä vesi 40 mg/ml 25°C Ei määritetty
60 Päivä
709
Biologinen menetelmä

Ruisku  polypropeeni Injektionesteisiin käytettävä vesi 40 mg/ml 4°C Suojattava valolta
60 Päivä
709
Biologinen menetelmä

Ruisku  polypropeeni Natriumkloridi 0,9% 30 mg/ml 22°C-23°C Valo
48 tunti
639
Näytön laajuus D

Polyisopreeni elastomeeri Natriumkloridi 0,9% 0,5 & 5 mg/ml 25°C Ei määritetty
24 tunti
604
Valmistajan antamat stabiiliustiedot

Polyisopreeni elastomeeri Natriumkloridi 0,9% 0,5 & 5 mg/ml 4°C Suojattava valolta
10 Päivä
604
Valmistajan antamat stabiiliustiedot

Polyisopreeni elastomeeri Glukoosi 5% 0,5 & 5 mg/ml 25°C Ei määritetty
24 tunti
604
Valmistajan antamat stabiiliustiedot

Polyisopreeni elastomeeri Glukoosi 5% 0,5 & 5 mg/ml 4°C Suojattava valolta
10 Päivä
604
Valmistajan antamat stabiiliustiedot


  Mentions Légales