Poslední aktualizace :
27/01/2026
Antibiotikas   Tobramycin sulfate  
Įpurškimas
Aerozolis Akių lašai Geriamas tirpalas
Tirpalų stabilumas Mišinių stabilumas Stabilumą lemiantys veiksniai Suderinamumas Leidimo būdai Bibliografija pdf
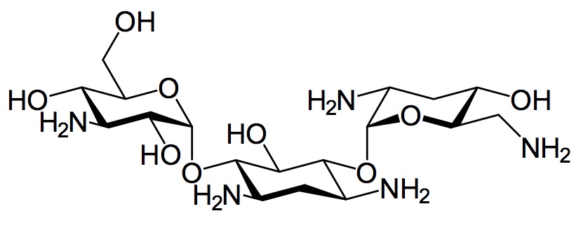
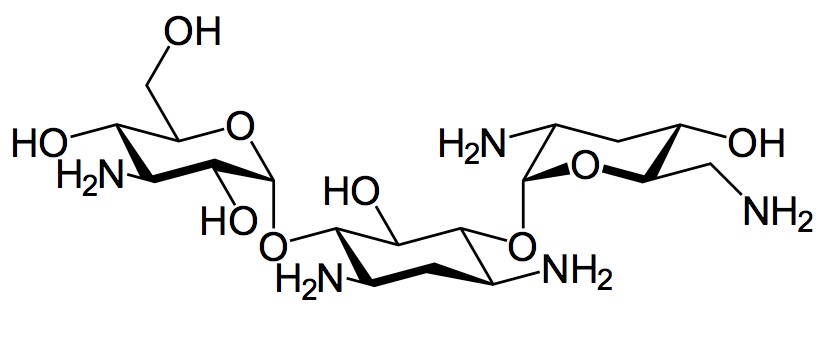
   Cheminė sandara  

Prekinis pavadinimas   Prekinis pavadinimas     

Trade names are indicative and excipients composition can be different depending on the country and manufacturers

Bactob Indija
Beltob Indija
Bramicil Italija
Brulamycin Malaizija, Slovėnija, Vengrija
Eltol Indija
Fytobra Indija
Gernebcin Vokietija
Komitob Indija
Nebcin Didžioji Britanija, Egiptas, Graikija, Jungtiniai Arabų Emyratai, Naujojoje Zelandijoje, Saudo Arabija
Nebcina Danija, Marokas, Norvegija, Švedija
Nebcine Marokas, Prancūzija, Slovėnija
Nebicina Italija
Obracin Belgija, Liuksemburgas, Olandija, Šveicarija
Tobracin Brazilija, Egiptas, Saudo Arabija
Tobramicina Argentina, Brazilija, Čilė, Ekvadoras, Ispanija, Italija, Kolumbija, Portugalija
Tobramina Brazilija
Tobramycin Airija, Australija, Didžioji Britanija, Jungtinės Amerikos Valstijos, Kanada, Norvegija, Saudo Arabija, Vokietija
Tobramycine Airija, Olandija, Prancūzija
Tobrasix Austrija
Tobrazid Vokietija
Tirpalų stabilumas   Įpurškimas   Tirpalų stabilumas : Tobramycin sulfate     
Pakuotė Tirpiklis Koncentracija Temperatūra Laikymas Stabilumo trukmė Nuorodos
Polivinilchloridas Natrio chloridas 0,9% 1 & 10 mg/ml 25°C Nenurodyta
3 Diena
13
Bandymo lygis B

Polivinilchloridas Natrio chloridas 0,9% 1 & 10 mg/ml 5°C Apsaugotas nuo šviesos
14 Diena
13
Bandymo lygis B

Polivinilchloridas Natrio chloridas 0,9% 1,2 mg/ml -20°C Apsaugotas nuo šviesos
28 Diena
565
Bandymo lygis D

Polivinilchloridas Natrio chloridas 0,9% 1,2 mg/ml 25°C Šviesa
48 Valanda
434

Polivinilchloridas Natrio chloridas 0,9% 1,2 mg/ml 4°C Apsaugotas nuo šviesos
48 Valanda
434

Polivinilchloridas Gliukozė 5% 1,2 mg/ml -20°C Apsaugotas nuo šviesos
28 Diena
565
Bandymo lygis D

Polivinilchloridas Gliukozė 5% 1,2 mg/ml 25°C Šviesa
48 Valanda
434

Polivinilchloridas Gliukozė 5% 1,2 mg/ml 4°C Apsaugotas nuo šviesos
48 Valanda
434

Polivinilchloridas Gliukozė 5% 3,2 mg/ml -20°C Apsaugotas nuo šviesos
30 Diena
575
Biologinis metodas

Etileno vinilacetatas Natrio chloridas 0,9% 0,95 mg/ml 23°C Apsaugotas nuo šviesos
7 Diena
1704
Bandymo lygis A+

Etileno vinilacetatas Natrio chloridas 0,9% 0,95 mg/ml 4°C Apsaugotas nuo šviesos
30 Diena
1704
Bandymo lygis A+

Švirkštas polipropileno Vanduo injekcijoms 40 mg/ml 25°C Nenurodyta
60 Diena
709
Biologinis metodas

Švirkštas polipropileno Vanduo injekcijoms 40 mg/ml 4°C Apsaugotas nuo šviesos
60 Diena
709
Biologinis metodas

Švirkštas polipropileno Natrio chloridas 0,9% 30 mg/ml 22°C-23°C Šviesa
48 Valanda
639
Bandymo lygis D

Poliizopreno elastomeras Natrio chloridas 0,9% 0,5 & 5 mg/ml 25°C Nenurodyta
24 Valanda
604
Gamintojo stabilumo duomenys

Poliizopreno elastomeras Natrio chloridas 0,9% 0,5 & 5 mg/ml 4°C Apsaugotas nuo šviesos
10 Diena
604
Gamintojo stabilumo duomenys

Poliizopreno elastomeras Gliukozė 5% 0,5 & 5 mg/ml 25°C Nenurodyta
24 Valanda
604
Gamintojo stabilumo duomenys

Poliizopreno elastomeras Gliukozė 5% 0,5 & 5 mg/ml 4°C Apsaugotas nuo šviesos
10 Diena
604
Gamintojo stabilumo duomenys


  Mentions Légales